【药物名称】YM-62899
化学结构式(Chemical Structure):
参考文献No.33661
标题:Arylethenesulfonamide derivs. and drug compsn. containing the same
作者:Harada, H.; Kazami, J.; Watanuki, S.; Tsuzuki, R.; Sudou, K.; Tanaka, A. (Yamanouchi Pharmaceutical Co., Ltd.)
来源:EP 0882719; US 6083955; WO 9722595
合成路线图解说明:

The known dichloropyrimidine derivative (I) was condensed with 2-phenylethenesulfonamide (II) in the presence of NaH in DMF to furnish the N-pyrimidinylsulfonamide (III). Displacement of the remaining chlorine of (III) by means of methanolic NaOMe provided the corresponding methyl ether (IV). The title potassium salt was then prepared by treatment of sulfonamide (IV) with ethanolic KOH.

合成路线图解说明:

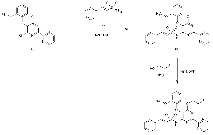
Nucleophilic substitution of the dichloropyrimidine derivative (I) with 2-phenylvinylsulfonamide (II) in the presence of NaH in DMF affords the sulfonamido pyrimidine (III). The remaining chloro group of (III) is subsequently displaced with the sodium alkoxide derived from 2-fluoroethanol (IV) to provide the target fluoroethyl ether.

合成路线图解说明:

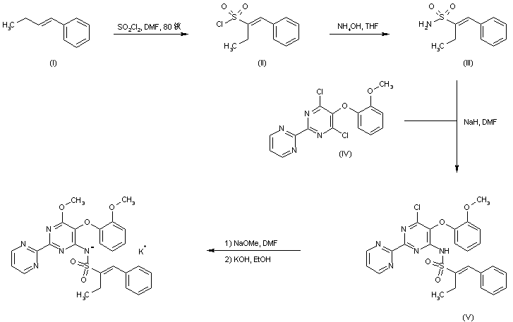
The sulfonation of 1-phenyl-1-butene (I) with sulfuryl chloride in hot DMF provided sulfonyl chloride (II), which was then treated with ammonium hydroxyde to give sulfonamide (III). Coupling of the known dichloro bipyrimidinyl derivative (IV) with the sodium salt of sulfonamide (III) yielded the N-pyrimidinyl sulfonamide (V). The remaining chloride was then displaced with sodium methoxide in DMF, and the resultant sulfonamide was finally converted to the potassium salt with ethanolic KOH.

参考文献No.618224
标题:Ethenesulfonamide derivatives, a novel class of orally active endothelin-A receptor antagonists
作者:Harada, H.; Kazami, J.-I.; Watanuki, S.; Tsuzuki, R.; Yanagisawa, I.; Sudoh, K.; Fujimori, A.; Tanaka, A.; Tsukamoto, S.-I.
来源:Chem Pharm Bull 2001,49(5),606
合成路线图解说明:

Nucleophilic substitution of the dichloropyrimidine derivative (I) with 2-phenylvinylsulfonamide (II) in the presence of NaH in DMF affords the sulfonamido pyrimidine (III). The remaining chloro group of (III) is subsequently displaced with the sodium alkoxide derived from 2-fluoroethanol (IV) to provide the target fluoroethyl ether.

Drug Information Express,Drug R&D,Chemical Database,Patent Search.
Copyright © 2006-2026 Drug Future. All rights reserved.Contact Us