【药物名称】SB-290190
化学结构式(Chemical Structure):
参考文献No.49039
标题:Protease inhibitors
作者:Bondinell, W.E.; Desjarlais, R.L.; Yamashita, D.S.; Veber, D.F. (GlaxoSmithKline Inc.)
来源:WO 9959526
合成路线图解说明:

Palladium-catalyzed coupling of methyl (3-bromophenyl)acetate (I) with 2-pyridyl triflate (II) furnished the pyridylphenylacetate ester (III), which was further hydrolyzed with LiOH to the corresponding carboxylic acid (IV). Coupling of acid (IV) with (3S)-3N-Boc-1,3-diamino-2-butanol (V) using HBTU produced amide (VI). After acid cleavage of the Boc protecting group of (VI), the resulting amine (VII) was coupled with N-Boc-leucine (VIII), yielding adduct (IX). Subsequent acidic deprotection of (IX) provided the intermediate amine (X).

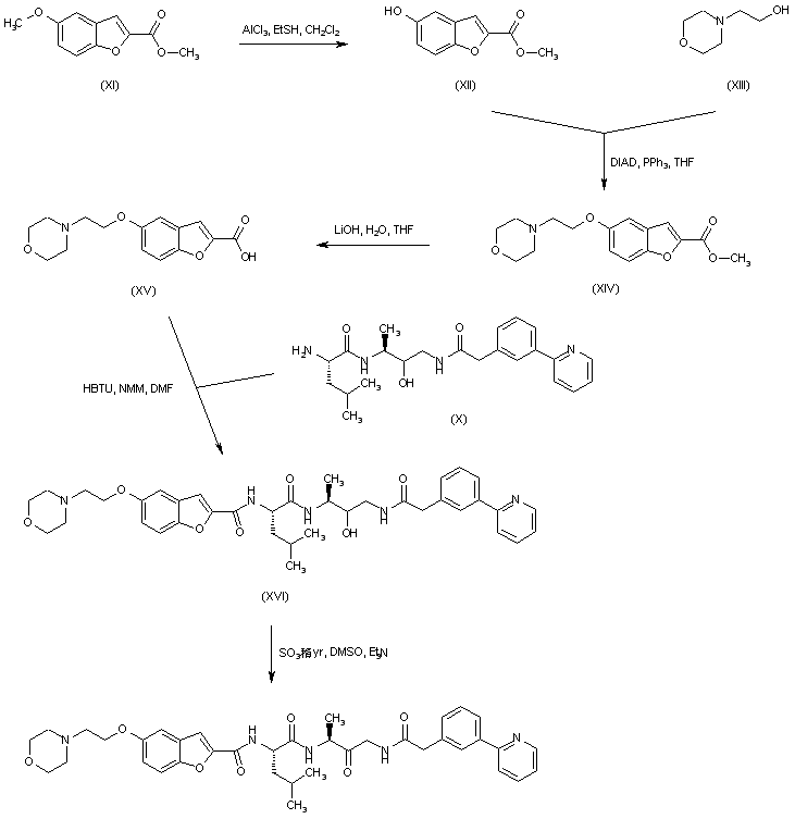
合成路线图解说明:

Ether cleavage of methyl 5-methoxybenzofuran-2-carboxylate (XI) was achieved by treatment with aluminum chloride and ethanethiol to provide phenol (XII). Subsequent Mitsunobu coupling of the resulting phenol derivative (XII) with N-(2-hydroxyethyl)morpholine (XIII) gave ether (XIV). Basic hydrolysis of the ester group provided acid (XV), which was further coupled with the intermediate amine (X) to yield amide (XVI). Finally, oxidation of the alcohol function of (XVI) under Swern conditions gave rise to the title ketone derivative.

Drug Information Express,Drug R&D,Chemical Database,Patent Search.
Copyright © 2006-2026 Drug Future. All rights reserved.Contact Us