【药物名称】GI-264879A
化学结构式(Chemical Structure):
参考文献No.30587
标题:Modified peptides
作者:Daniels, A.J.; Heyer, D.; Leban, J.J. (Glaxo Wellcome plc)
来源:WO 9622305
合成路线图解说明:

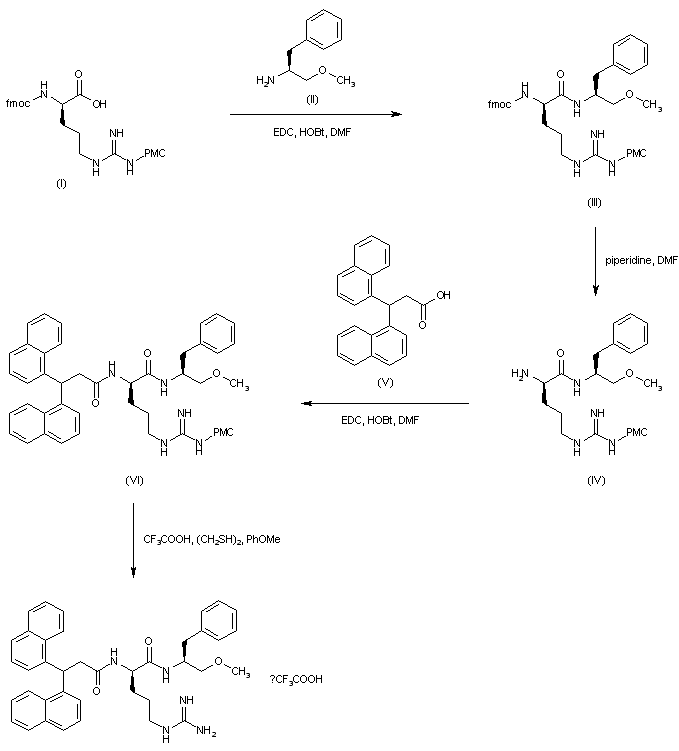
Coupling of Fmoc-D-arginine(PMC) (I) with phenylalaninol methyl ether (II) in the presence of EDC and HOBt provided amide (III). Cleavage of the Fmoc group by using piperidine in DMF afforded amine (IV), which was subsequently coupled with dinaphthylpropionic acid (V), yielding diamide (VI). The pentamethylchromansulfonyl protecting group (PMC) was finally removed by treatment with trifluoroacetic acid in the presence of ethanedithiol and anisole.

Drug Information Express,Drug R&D,Chemical Database,Patent Search.
Copyright © 2006-2026 Drug Future. All rights reserved.Contact Us