【药物名称】
化学结构式(Chemical Structure):
参考文献No.48595
标题:Heterocyclic cpds. useful as inhibitors of tyrosine kinases
作者:Goldberg, D.; Cardozo, M.G.; Tschantz, M.A.; Moss, N.; Morwick, T.; Prokopowicz, A.S. III; Snow, R.J.; Patel, U.R.; Wang, X.-J.; Hammach, A.; Takahashi, H. (Boehringer Ingelheim Pharmaceuticals Inc.)
来源:WO 0125238
合成路线图解说明:

Nucleophilic substitution of 2,6-dichloro-3-nitrobenzonitrile (I) with methylamine provided the 2-(methylamino) regioisomer (II). The remaining chloride was subsequently displaced with the potassium enolate of ethyl 2-methylacetoacetate (III), yielding adduct (IV). After catalytic hydrogenation of the nitro group of (IV), the resulting amine (V) was condensed with 2,6-dichlorophenyl isothiocyanate (VI) to produce thiourea (VII), which was further cyclized to the benzimidazole (VIII) upon desulfuration with mercuric oxide. Decarbethoxylation and simultaneous cyclization between keto and cyano groups of (VIII) under acidic conditions gave rise to the fused pyridone system (IX). Regioselective oxidation of one methyl group of (IX) using selenium dioxide in hot dioxan furnished aldehyde (X). To this was added the vinyl Grignard reagent (XI), producing the allyl alcohol (XII), which was further esterified to acetate (XIII) with acetic anhydride and triethylamine. Finally, palladium-catalyzed displacement of the acetate group of (XIII) with diethylamine, with concomitant double bond rearrangement, produced the title allylic amine.

合成路线图解说明:

Nucleophilic substitution of 2,6-dichloro-3-nitrobenzonitrile (I) with methylamine provided the 2-(methylamino) regioisomer (II). The remaining chloride was subsequently displaced with the potassium enolate of ethyl 2-methylacetoacetate (III), yielding adduct (IV). After catalytic hydrogenation of the nitro group of (IV), the resulting amine (V) was condensed with 2,6-dichlorophenyl isothiocyanate (VI) to produce thiourea (VII), which was further cyclized to the benzimidazole (VIII) upon desulfuration with mercuric oxide. Decarbethoxylation and simultaneous cyclization between keto and cyano groups of (VIII) under acidic conditions gave rise to the fused pyridone system (IX). Regioselective oxidation of one methyl group of (IX) using selenium dioxide in hot dioxan furnished aldehyde (X). To this was added the vinyl Grignard reagent (XI), producing the allyl alcohol (XII), which was further esterified to acetate (XIII) with acetic anhydride and triethylamine. Finally, palladium-catalyzed displacement of the acetate group of (XIII) with dimethylamine, with concomitant double bond rearrangement, produced the title allylic amine.

合成路线图解说明:

Alkylation of (2-cyanophenyl)acetonitrile (I) with iodomethane under phase-transfer conditions leads to the alpha,alpha-dimethyl nitrile (II), which is further cyclized to imide (III) with 90% H2SO4. Subsequent nitration of homophthalimide (III) with HNO3/H2SO4 furnishes (IV) (1). Nitrophthalimide (IV) is reduced to the corresponding amine (V) by hydrogenation in the presence of Pd/C. This is then converted into acetamide (VI) by treatment with Ac2O. A second nitration reaction with cold HNO3 leads to the nitro amide (VII), which is further hydrolyzed with H2SO4 to the nitro amine (VIII). Hydrogenation of (VIII) over PtO2 furnishes diamine (IX). Coupling of (IX) with 2,6-dichlorophenyl isothiocyanate (X) gives thiourea (XI). Ring closure of amino thiourea (XI) to the benzimidazole derivative (XII) is carried out by treatment with DCC in refluxing THF. Partial reduction of the imide function of (XII) with NaBH4 in moist THF affords (XIII). Finally, rearrangement of (XIII) in concentrated H2SO4 at room temperature gives rise to the title compound (1,2).

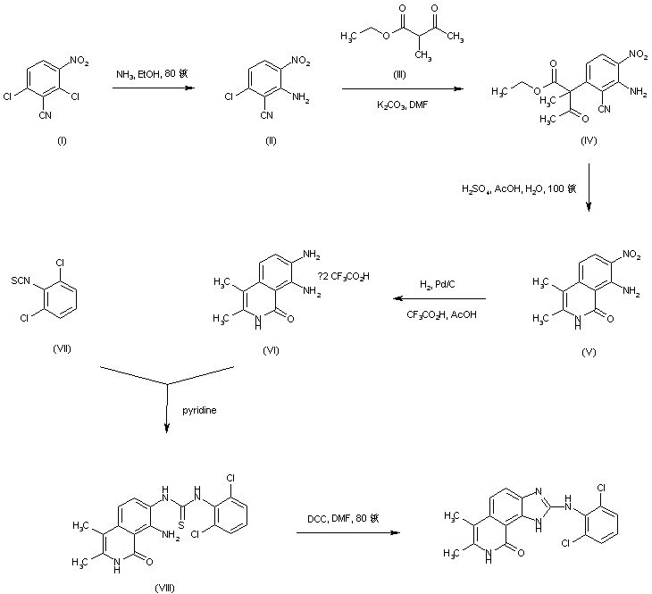
合成路线图解说明:

In an alternative method, 2,6-dichloro-3-nitrobenzonitrile (I) is heated with ethanolic ammonia in a sealed vessel to produce the 2-amino benzonitrile (II). Subsequent condensation of 2-amino-6-chloro-3-nitrobenzonitrile (II) with ethyl methylacetoacetate (III) in the presence of K2CO3 leads to the aryl methyl acetoacetate ester (IV). Decarboxylation and cyclization of (IV) under acidic conditions then produces isoquinolinone (V). Nitro group reduction in (V) with H2 and Pd/C leads to diamine (VI), which is further coupled with 2,6-dichlorophenyl isothiocyanate (VII), yielding thiourea (VIII). Finally, ring closure of amino thiourea (VIII) with DCC in hot DMF affords the target tricyclic compound (2).

Drug Information Express,Drug R&D,Chemical Database,Patent Search.
Copyright © 2006-2026 Drug Future. All rights reserved.Contact Us