【药物名称】DPJ-489
化学结构式(Chemical Structure):
参考文献No.617971
标题:Synthesis and neuromuscular blocking activity of 16beta-piperidinosteroidal derivatives
作者:Jindal, D.P.; Piplani, P.; Fajrak, H.; Prior, C.; Marshall, I.G.
来源:Eur J Med Chem 2001,36(2),195
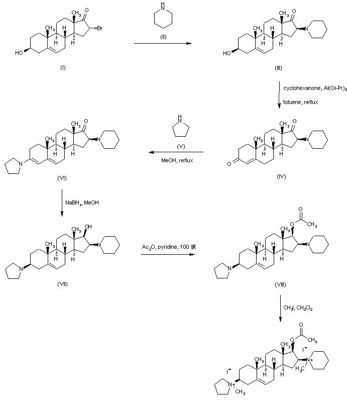
合成路线图解说明:

Condensation of 16-alpha-bromo-3-beta-hydroxy-5-androsten-17-one (I) with piperidine (II) produced the 16-piperidino derivative (III). Oppenauer oxidation of alcohol (III) with concomitant double-bond migration afforded the unsaturated ketone (IV), which was subsequently condensed with pyrrolidine (V) to yield the dienamine (VI). Reduction of the enamine and ketone functions of (VI) with NaBH4 gave the pyrrolidino alcohol (VII). This was then esterified with acetic anhydride in hot pyridine, yielding acetate (VIII). Finally, quaternization of (VIII) with methyl iodide provided the title bis-ammonium salt.

Drug Information Express,Drug R&D,Chemical Database,Patent Search.
Copyright © 2006-2026 Drug Future. All rights reserved.Contact Us