【药物名称】AL-6598
化学结构式(Chemical Structure):
参考文献No.668968
标题:3-Oxa-15-cyclohexyl prostaglandin DP receptor agonists as topical antiglaucoma agents
作者:Hellberg, M.R.; Conrow, R.E.; Sharif, N.A.; McLaughlin, M.A.; Bishop, J.E.; Crider, J.Y.; Dean, W.D.; DeWolf, K.A.; Pierce, D.R.; Sallee, V.L.; Selliah, R.D.; Severns, B.S.; Sproull, S.J.; Williams, G.W.; Zinke, P.W.; Klimko, P.G.
来源:Bioorg Med Chem 2002,10(6),2031
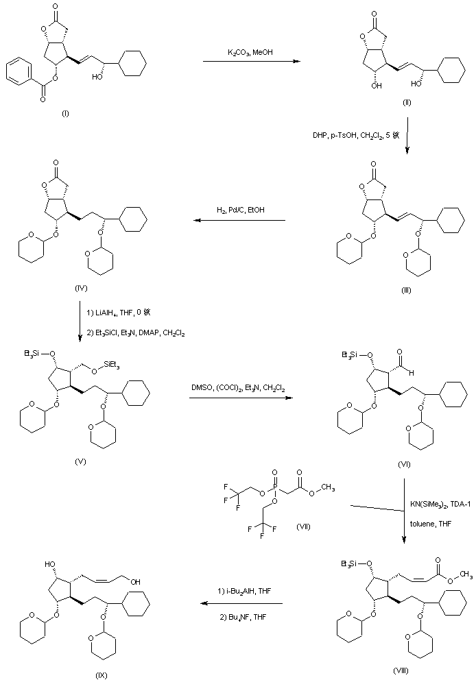
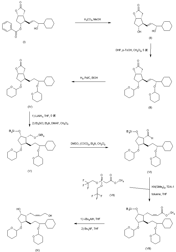
合成路线图解说明:

The title prostaglandin derivative was synthesized by two methods. The benzoate ester group of the known lactone precursor (I) was removed by methanolysis in the presence of K2CO3 to afford diol (II), which was further protected as the bis-tetrahydropyranyl ether (III). Catalytic hydrogenation of (III) provided the 13,14-dihydro compound (IV). The lactone function of (IV) was then reduced with LiAlH4 to the corresponding open chain diol, which was subsequently protected as the bis-silyl derivative (V). Regioselective Swern oxidation of the silylated primary hydroxyl of (V) furnished aldehyde (VI). This was subjected to Wadsworth-Emmons olefination with phosphonate (VII) in the presence of tris[2-(2-methoxyethoxy)ethyl]amine (TDA-1) as the K+-complexing agent to yield the Z-unsaturated ester (VIII) as the major isomer. Ester group reduction in (VIII) by means of DIBAL, followed by desilylation with tetrabutylammonium fluoride, provided the allylic alcohol (IX).

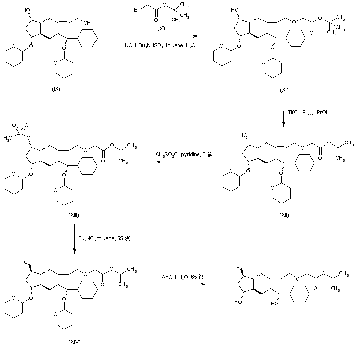
合成路线图解说明:

Alkylation of the allylic alcohol (IX) with tert-butyl bromoacetate (X) under phase-transfer conditions afforded ester (XI), which was then subjected to titanium isopropoxide-mediated transesterification to the corresponding isopropyl ester (XII). Conversion of secondary alcohol (XII) into chloride (XIV) was performed via the mesylate (XIII), which was then treated with tetrabutylammonium chloride in hot toluene. Finally, acidic cleavage of the tetrahydropyranyl ether groups of (XIV) led to the title compound.

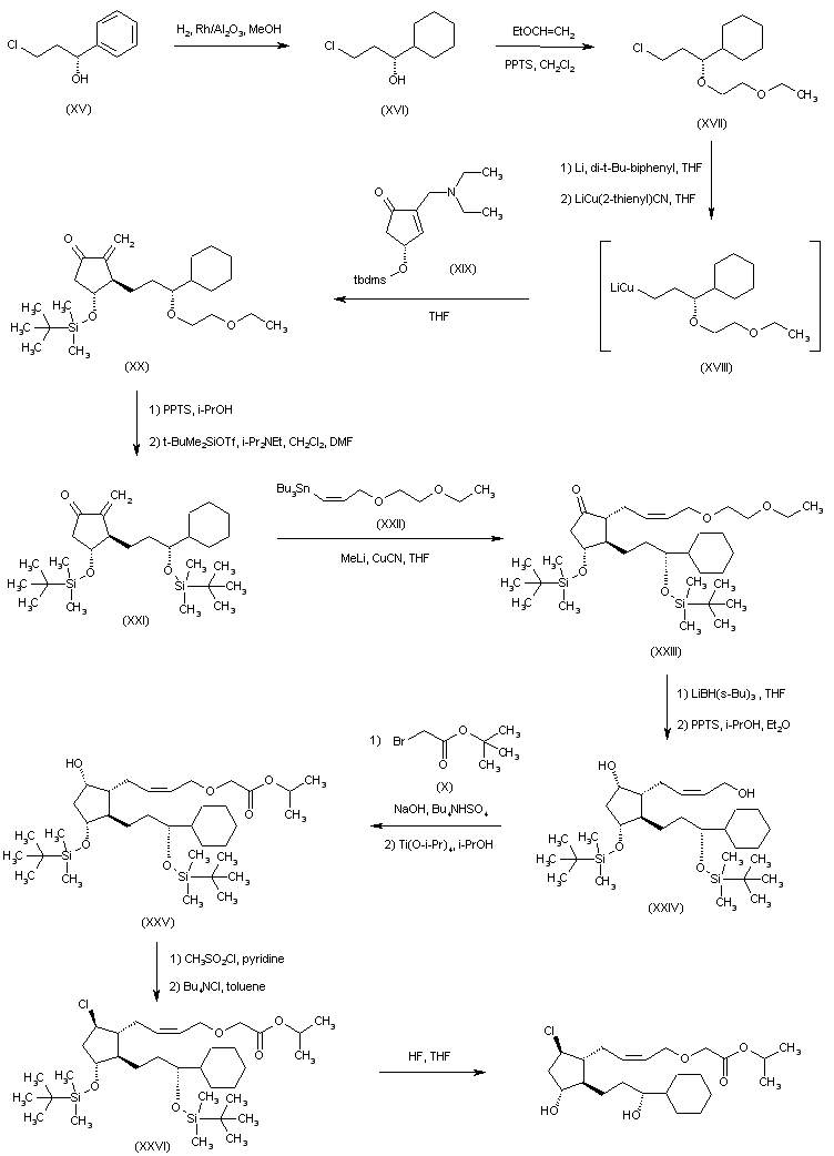
合成路线图解说明:

In a different route, hydrogenation of (R)-3-chloro-1-phenyl-1-propanol (XV) over Rh/Al2O3 gave the cyclohexyl carbinol (XVI), which was protected as the ethoxyethyl ether (XVII) by treatment with ethyl vinyl ether in the presence of pyridinium tosylate. Lithiation of chloride (XVII), followed by exchange with lithium (2-thienyl)cyanocuprate, generated the organocuprate reagent (XVIII), which produced a conjugate addition to enone (XIX) to afford the methylene ketone (XX). Protecting group exchange in (XX) was effected by acidic cleavage of the ethoxyethyl group, followed by silylation with t-butyldimethylsilyl triflate, yielding the bis-silylated compound (XXI). The Z-vinylstannane reagent (XXII) was subjected to a stereospecific transmetalation with Me2Cu(CN)Li2 and the resulting cuprate underwent conjugate addition to enone (XXI) yielding adduct (XXIII). Reduction of ketone (XXIII) with L-Selectride? followed by acidic cleavage of the ethoxyethyl group, provided diol (XXIV). Alkylation of (XXIV) with tert-butyl bromoacetate (X), followed by transterification as above, furnished the isopropyl ester (XXV). The remaining hydroxyl group of (XXV) was subsequently exchanged by a chloride (XXVI) via the corresponding mesylate. Finally, desilylation of (XXVI) with HF in THF gave rise to the title compound.

合成路线图解说明:

The benzoate ester group of the known lactone precursor (I) was removed by methanolysis in the presence of K2CO3 to afford diol (II), which was further protected as the bis-tetrahydropyranyl ether (III). Catalytic hydrogenation of (III) provided the 13,14-dihydro compound (IV). The lactone function of (IV) was then reduced with LiAlH4 to the corresponding open chain diol, which was subsequently protected as the bis-silyl derivative (V). Regioselective Swern oxidation of the silylated primary hydroxyl of (V) furnished aldehyde (VI). This was subjected to Wadsworth-Emmons olefination with phosphonate (VII) in the presence of tris[2-(2-methoxyethoxy)ethyl]amine (TDA-1) as the K+-complexing agent to yield the Z-unsaturated ester (VIII) as the major isomer. Ester group reduction in (VIII) by means of DIBAL, followed by desilylation with tetrabutylammonium fluoride, provided the allylic alcohol (IX).

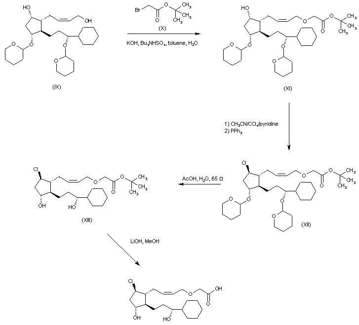
合成路线图解说明:

Alkylation of the allylic alcohol (IX) with tert-butyl bromoacetate (X) under phase-transfer conditions afforded ester (XI), which was then converted into chloro derivative (XII) by treatment with a mixture of CH3CN/CCl4/pyridine and then PPh3. Acidic cleavage of the tetrahydropyranyl ether groups of (XII) led to the dihydroxy derivative (XIII), which was finally subjected to saponification with LiOH in MeOH to yield the desired product.

Drug Information Express,Drug R&D,Chemical Database,Patent Search.
Copyright © 2006-2026 Drug Future. All rights reserved.Contact Us