【药物名称】CP-608039
化学结构式(Chemical Structure):
参考文献No.48501
标题:Cpds. for the treatment of ischemia
作者:Masamune, H.; Scott, R.W.; Deninno, M.P. (Pfizer Products Inc.)
来源:EP 1216257; JP 2003510331; WO 0123399
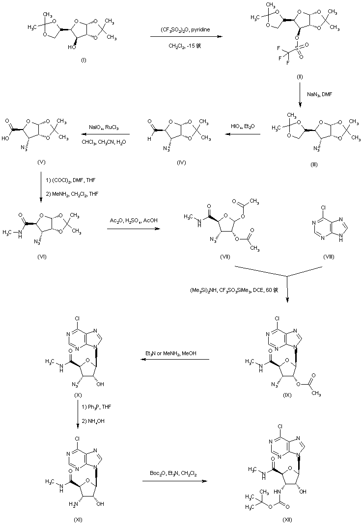
合成路线图解说明:

Treatment of 1,2,5,6-diisopropylidene-D-glucofuranose (I) with trifluoromethanesulfonic anhydride and pyridine provides triflate (II), which is then displaced with sodium azide to furnish the 3-azido derivative (III). Oxidative cleavage of the 5,6-diol acetonide of (III) by means of periodic acid leads to aldehyde (IV). Further oxidation of (IV) with a catalytic amount of ruthenium trichloride in the presence of sodium periodate affords carboxylic acid (V). After activation of acid (V) with oxalyl chloride, coupling with methylamine provides amide (VI). Acidic hydrolysis of the remaining 1,2-acetonide of (VI) in the presence of acetic anhydride gives rise to diacetate (VII). Silylation of 6-chloropurine (VIII), followed by coupling with the diacetyl ribofuranuronic acid derivative (VII) in the presence of trimethylsilyl triflate yields the purine glycoside (IX). The acetate ester group of (IX) is then removed by methanolysis in the presence of either methylamine or triethylamine, to produce alcohol (X). Subsequent azido group reduction in (X) by means of triphenylphosphine leads to amine (XI), which is then protected as the N-Boc derivative (XII) employing di-t-butyl dicarbonate.

合成路线图解说明:

Coupling between 2-(phthalimidomethyl)-4-chlorophenol (XIII) and 5-(hydroxymethyl)-3-methylisoxazole (XIV) under Mitsunobu conditions provides the ether adduct (XV). Subsequent phthaloyl group hydrazinolysis in (XV) leads to the primary amine (XVI). The 6-chloropurine glycoside (XII) is then condensed with amine (XVI) to furnish the 6-aminopurine derivative (XVII). Finally, Boc group cleavage in (XVII) employing methanesulfonic acid affords the title compound.

Drug Information Express,Drug R&D,Chemical Database,Patent Search.
Copyright © 2006-2026 Drug Future. All rights reserved.Contact Us