【药物名称】
化学结构式(Chemical Structure):
参考文献No.617709
标题:Synthesis and functional characterization of novel derivatives related to oxotremorine and oxotremorine-M
作者:Dallanoce, C.; Conti, P.; De Amici, M.; De Micheli, C.; Barocelli, E.; Chiavarini, M.; Ballabeni, V.; Bertoni, S.; Impicciatore, M.
来源:Bioorg Med Chem 1999,7(8),1539
合成路线图解说明:

In an alternative procedure, nucleophilic displacement of the nitro group from 3-nitro-2-isoxazoline (VI) with lithium benzylate gave the benzyl ether (VII), which was converted to isoxazolidinone (VIII) by catalytic hydrogenation. Alkylation of (VIII) with 1,4-dichloro-2-butyne (IX) resulted in a 4:1 mixture of regioisomers (X) and (XI). After chromatographic isolation, the desired isomer (X) was condensed with pyrrolidine (V) to provide the title compound.

参考文献No.617710
标题:Synthesis and binding affinity of new muscarinic ligands structurally related to oxotremorine
作者:Conti, P.; et al.
来源:Bioorg Med Chem Lett 1997,7(8),1033
合成路线图解说明:

In an alternative procedure, nucleophilic displacement of the nitro group from 3-nitro-2-isoxazoline (VI) with lithium benzylate gave the benzyl ether (VII), which was converted to isoxazolidinone (VIII) by catalytic hydrogenation. Alkylation of (VIII) with 1,4-dichloro-2-butyne (IX) resulted in a 4:1 mixture of regioisomers (X) and (XI). After chromatographic isolation, the desired isomer (X) was condensed with pyrrolidine (V) to provide the title compound.

参考文献No.618068
标题:Position 5 at the oxotremorinic skeleton as the stearing position for activity at the muscarinic receptors
作者:Amstutz, R.; et al.
来源:Helv Chim Acta 1987,702232
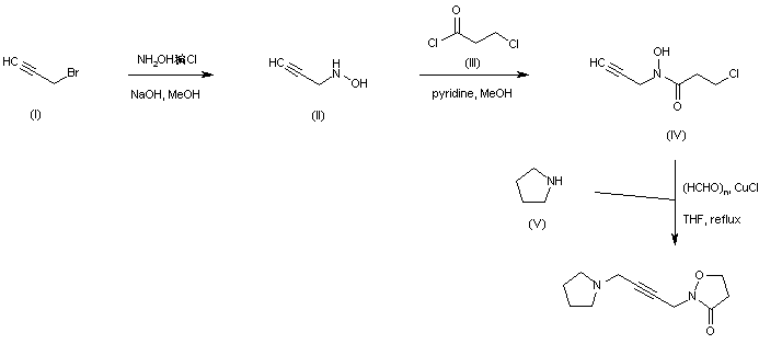
合成路线图解说明:

Alkylation of hydroxylamine with propargyl bromide (I) provided N-propargyl hydroxylamine (II), which was subsequently acylated with 3-chloropropionyl chloride (III) in the presence of pyridine to yield the N-hydroxy amide (IV). Mannich reaction of the propargyl compound (IV) with paraformaldehyde and pyrrolidine (V) with simultaneous cyclization of the N-hydroxy chloropropionamide furnished the title compound.

Drug Information Express,Drug R&D,Chemical Database,Patent Search.
Copyright © 2006-2026 Drug Future. All rights reserved.Contact Us