【药物名称】
化学结构式(Chemical Structure):
参考文献No.616501
标题:Synthesis and biological evaluation of novel A-ring modified hexacyclic camptothecin analogues
作者:Kim, D.-K.; Ryu, D.H.; Lee, J.Y.; Lee, N.; Kim, Y.W.; Kim, J.S.; Chang, K.; Im, G.J.; Kim, T.K.; Choi, W.S.
来源:J Med Chem 2001,44(10),1594
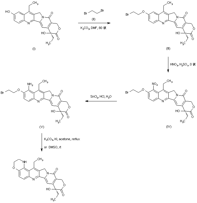
合成路线图解说明:

Alkylation of 7-ethyl-10-hydroxycamptothecin (I) with 1,2-dibromoethane (II) under Williamson's ether synthesis conditions furnished the bromoethyl ether (III). Subsequent regioselective nitration of (III) provided the desired 9-nitro compound (IV), which was further reduced to the corresponding amine (V) by using SnCl2 in concentrated HCl. Finally, cyclization of the bromo amine (V) to give the title hexacyclic compound was carried out either in the presence of KI and K2CO3 in refluxing acetone or on standing in a DMSO solution at room temperature.

Drug Information Express,Drug R&D,Chemical Database,Patent Search.
Copyright © 2006-2026 Drug Future. All rights reserved.Contact Us