| 参考文献No. | 35192 |
| 标题: | Phenyl derivs. containing an acidic group, their preparation and their use as chloridic channel blockers |
| 作者: | Christophersen, P.; Pedersen, O. (NeuroSearch A/S) |
| 来源: | EP 0906273; EP 0977741; JP 2000511167; WO 9745400; WO 9847879 |
 |
| 合成路线图解说明: The title urea derivative was obtained by condensation of 3-(trifluoromethyl)phenyl isocyanate (I) with anthranilic acid (II). |
 |
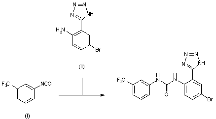
| 合成路线图解说明: The target compound can be obtained by condensation of 3-trifluoromethylphenyl isocyanate (I) with 5-(2-amino-5-bromophenyl)tetrazole in toluene. |