【药物名称】
化学结构式(Chemical Structure):
参考文献No.46884
标题:Sulphamate cpds.
作者:Ahmed, S. (Kingston University)
来源:WO 0104086
合成路线图解说明:

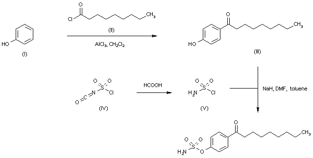
Friedel-Crafts acylation of phenol (I) with nonanoyl chloride (II) in the presence of AlCl3 afforded ketone (III). Aminosulfonyl chloride (V) was prepared by decarboxylation of chlorosulfonyl isocyanate (IV) upon treatment with formic acid. Finally, condensation of the sodium phenolate of (III) with aminosulfonyl chloride (V) furnished the title sulfamate.

参考文献No.616104
标题:Novel inhibitors of the enzyme estrone sulfatase (ES)
作者:Ahmed, S.; James, K.; Owen, C.P.; Patel, C.K.; Patel, M.
来源:Bioorg Med Chem Lett 2001,11(6),841
合成路线图解说明:

Friedel-Crafts acylation of phenol (I) with nonanoyl chloride (II) in the presence of AlCl3 afforded ketone (III). Aminosulfonyl chloride (V) was prepared by decarboxylation of chlorosulfonyl isocyanate (IV) upon treatment with formic acid. Finally, condensation of the sodium phenolate of (III) with aminosulfonyl chloride (V) furnished the title sulfamate.

参考文献No.690830
标题:Synthesis and biochemical evaluation of novel and potent inhibitors of the enzyme oestrone sulphatase (ES)
作者:Ahmed, S.; James, K.; Owen, C.P.; Patel, C.K.
来源:J Steroid Biochem Mol Biol 2002,80(4-5),419
合成路线图解说明:

Friedel-Crafts acylation of phenol (I) with nonanoyl chloride (II) in the presence of AlCl3 afforded ketone (III). Aminosulfonyl chloride (V) was prepared by decarboxylation of chlorosulfonyl isocyanate (IV) upon treatment with formic acid. Finally, condensation of the sodium phenolate of (III) with aminosulfonyl chloride (V) furnished the title sulfamate.

Drug Information Express,Drug R&D,Chemical Database,Patent Search.
Copyright © 2006-2026 Drug Future. All rights reserved.Contact Us