【药物名称】
化学结构式(Chemical Structure):
参考文献No.616101
标题:Diaryl ester prodrugs of FR900098 with improved in vivo antimalarial activity
作者:Reichenberg, A.; Wiesner, J.; Weidemeyer, C.; Dreiseidler, E.; Sanderbrand, S.; Altincicek, B.; Beck, E.; Schlitzer, M.; Jomaa, H.
来源:Bioorg Med Chem Lett 2001,11(6),833
合成路线图解说明:

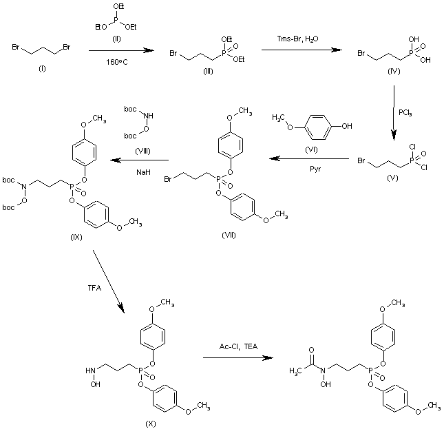
The reaction of 1,3-dibromopropane (I) with triethyl phosphite (II) at 160 C gives triethyl 3-bromopropylphosphonate (III), which is treated with Tms-Br and water to yield the corresponding phosphonic acid (IV). The reaction of (IV) with PCl3 in refluxing chloroform affords the acyl chloride (V), which is treated with 4-methoxyphenol (VI) and pyridine to provide the expected 4-methoxyphenyl diester (VII). The reaction of (VII) with N,O-bis(tert-butoxycarbonyl)hydroxylamine (VIII) by means of NaH in DMF gives the fully protected hydroxyamino derivative (IX), which by treatment with TFA in dichloromethane yields 3-(hydroxyamino)propylphosphonic acid 4-methoxyphenyl diester (X). Finally, this compound is acylated with Ac-Cl and TEA in ethyl ether to afford the target N-acetylhydroxyamino compound.

Drug Information Express,Drug R&D,Chemical Database,Patent Search.
Copyright © 2006-2026 Drug Future. All rights reserved.Contact Us