【药物名称】TU-753
化学结构式(Chemical Structure):
参考文献No.616023
标题:Effect of N-alkyl and N-alkenyl substituents in noroxymorphindole, 17-substituted-6,7-dehydro-4,5alpha-epoxy-3,14-dihydroxy-6,7:2',3'-indolomorphinans on opioid receptor affinity, selectivity, and efficacy
作者:McLamore, S.; Ullrich, T.; Rothman, R.B.; Xu, H.; Dersch, C.; Coop, A.; Davis, P.; Porreca, F.; Jacobson, A.E.; Rice, K.C.
来源:J Med Chem 2001,44(9),1471
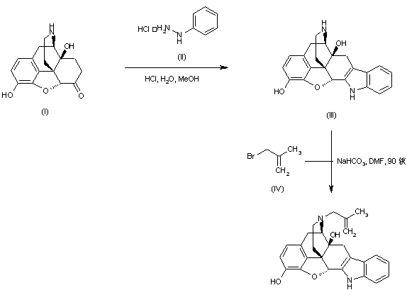
合成路线图解说明:

Noroxymorphindole (III) was prepared by Fischer indole synthesis from noroxymorphone (I) and phenylhydrazine (II) under acidic conditions. Alkylation of (III) with 2-methyl-2-propenyl bromide (IV) in the presence of NaHCO3 in DMF afforded the title compound.

Drug Information Express,Drug R&D,Chemical Database,Patent Search.
Copyright © 2006-2026 Drug Future. All rights reserved.Contact Us