【药物名称】WAY-174231
化学结构式(Chemical Structure):
参考文献No.616021
标题:(4-Piperidin-1-yl)phenyl amides: Potent and selective human beta3 agonists
作者:Hu, B.; Ellingboe, J.; Han, S.; Largis, E.; Mulvey, R.; Oliphant, A.; Sum, F.W.; Tillett, J.
来源:J Med Chem 2001,44(9),1456
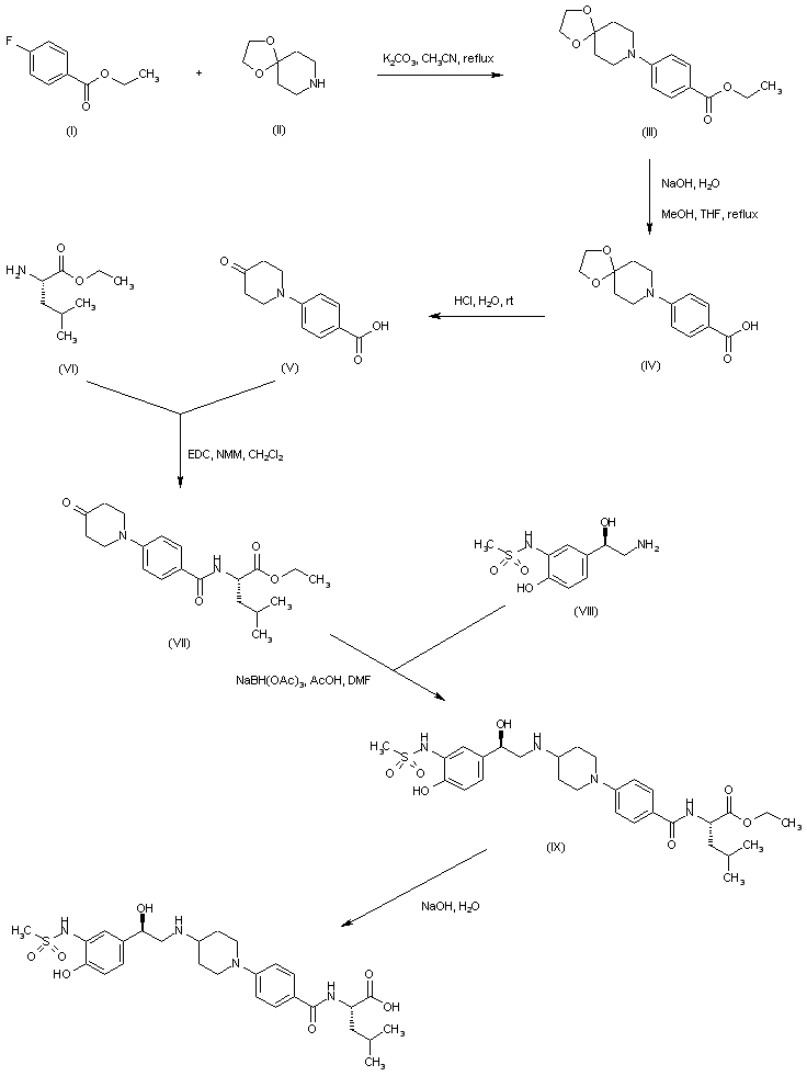
合成路线图解说明:

Condensation of ethyl 4-fluorobenzoate (I) with 4-piperidone ethylene ketal (II) afforded the N-arylpiperidine (III). Saponification of the ethyl ester group of (III), followed by acidic hydrolysis of the ethylene ketal function, yielded the benzoic acid derivative (V). Coupling of acid (V) with leucine ethyl ester (VI) using EDC gave amide (VII). Then, reductive amination of piperidone (VII) with the known arylethanolamine (VIII) using NaBH(OAc)3 furnished the aminopiperidine (IX). The ethyl ester group of (IX) was finally hydrolyzed with NaOH to provide the corresponding carboxylic acid.

参考文献No.644922
标题:A convenient synthesis of 1-aryl-4-piperidones
作者:Taylor, E.C.; Skotnicki, J.S.
来源:Synthesis 1981,606
合成路线图解说明:

Condensation of ethyl 4-fluorobenzoate (I) with 4-piperidone ethylene ketal (II) afforded the N-arylpiperidine (III). Saponification of the ethyl ester group of (III), followed by acidic hydrolysis of the ethylene ketal function, yielded the benzoic acid derivative (V). Coupling of acid (V) with leucine ethyl ester (VI) using EDC gave amide (VII). Then, reductive amination of piperidone (VII) with the known arylethanolamine (VIII) using NaBH(OAc)3 furnished the aminopiperidine (IX). The ethyl ester group of (IX) was finally hydrolyzed with NaOH to provide the corresponding carboxylic acid.

Drug Information Express,Drug R&D,Chemical Database,Patent Search.
Copyright © 2006-2026 Drug Future. All rights reserved.Contact Us