【药物名称】
化学结构式(Chemical Structure):
参考文献No.39691
标题:Phenylaminoalkylcarboxylic acid derivs. and medicinal compsns. containing the same
作者:Sato, M.; Tanaka, N.; Akahane, M.; Tamai, T.; Muranaka, H.; Mukaiyama, H.; Hirabayashi, A. (Kissei Pharmaceutical Co., Ltd.)
来源:EP 1043308; WO 9931045
合成路线图解说明:

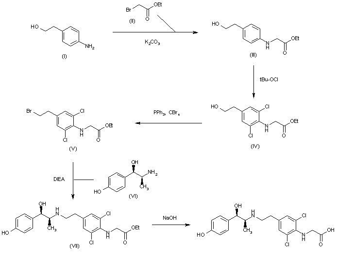
The condensation of 2-(4-aminophenyl)ethanol (I) with ethyl 2-bromoacetate (II) by means of K2CO3 in DMF gives 2-[4-(2-hydroxyethyl)phenylamino]acetic acid ethyl ester (III), which is chlorinated with t-butyl hypochlorite in dichloromethane to yield the 2,6-dichlorophenyl derivative (IV). The bromination of (IV) by means of PPh3 and CBr4 in dichloromethane affords the 2-bromoethyl derivative (V), which is condensed with (1R,2S)-2-amino-1-(4-hydroxyphenyl)-1-propanol (VI) by means of DIEA in hot DMF to provide the ethyl ester precursor (VII). Finally, this compound is hydrolyzed with aq. 1N NaOH to give the target N-phenylglycine derivative.

参考文献No.616019
标题:Discovery of novel N-phenylglycine derivatives as potent and selective beta3-adrenoceptor agonists for the treatment of frequent urination and urinary incontinence
作者:Tanaka, N.; Tamai, T.; Mukaiyama, H.; Hirabayashi, A.; Muranaka, H.; Akahane, S.; Miyata, H.; Akahane, M.
来源:J Med Chem 2001,44(9),1436
合成路线图解说明:

The condensation of 2-(4-aminophenyl)ethanol (I) with ethyl 2-bromoacetate (II) by means of K2CO3 in DMF gives 2-[4-(2-hydroxyethyl)phenylamino]acetic acid ethyl ester (III), which is chlorinated with t-butyl hypochlorite in dichloromethane to yield the 2,6-dichlorophenyl derivative (IV). The bromination of (IV) by means of PPh3 and CBr4 in dichloromethane affords the 2-bromoethyl derivative (V), which is condensed with (1R,2S)-2-amino-1-(4-hydroxyphenyl)-1-propanol (VI) by means of DIEA in hot DMF to provide the ethyl ester precursor (VII). Finally, this compound is hydrolyzed with aq. 1N NaOH to give the target N-phenylglycine derivative.

Drug Information Express,Drug R&D,Chemical Database,Patent Search.
Copyright © 2006-2026 Drug Future. All rights reserved.Contact Us