【药物名称】SB-331750
化学结构式(Chemical Structure):
参考文献No.44103
标题:Protease inhibitors
作者:Cummings, M.D.; Veber, D.F.; Yamashita, D.; Ru, Y.; Marquis, R.W. Jr.; Thompson, S.K. (SmithKline Beecham Corp.)
来源:EP 1158986; WO 0038687
合成路线图解说明:

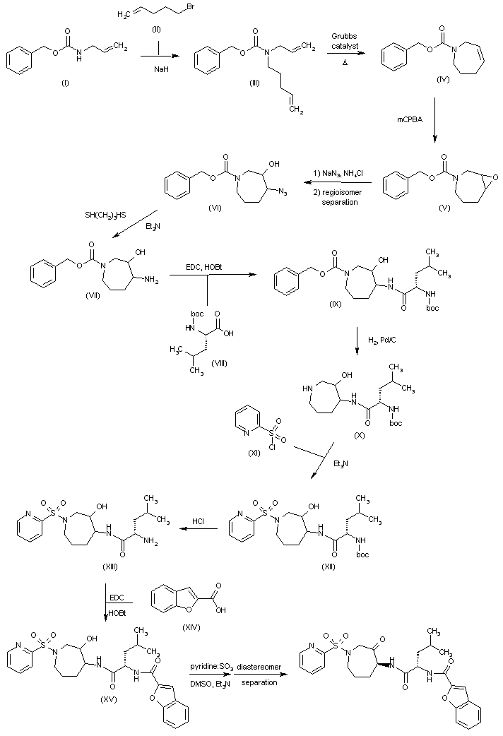
N-Alkylation of benzyl N-allylcarbamate (I) with 5-bromo-1-pentene (II) by means of NaH in DMF provides olefin metathesis substrate (III), which is then converted into azepine (IV) by means of catalytic bis(tricyclohexylphosphine)benzylideneruthenium (IV) dichloride (Grubbs catalyst) in refluxing CH2Cl2. Epoxidation of (IV) with m-CPBA in CH2Cl2 affords oxirane (V), which is then treated with NaN3 and NH4Cl in H2O/MeOH to provide a mixture of regioisomers from which (VI) is chromatographically isolated. Reduction of azide (VI) with 1,3-propanedithiol and Et3N in MeOH furnishes amino alcohol derivative (VII), which is then acylated with Boc-Leu-OH by means of EDC and HOBt to provide protected derivative (IX). Removal of the Z protecting group by hydrogenolysis over Pd/C in MeOH gives amine (X), which is then condensed with 2-pyridylsulfonyl chloride (XI) by means of Et3N in CH2Cl2 to yield compound (XII). Boc removal from (XII) by treatment with HCl in MeOH/AcOEt affords amine (XIII), which is then acylated with benzofuran-2-carboxylic acid (XIV) by means of EDC and HOBt to give derivative (XV). Finally, the desired product is obtained by oxidation of (XV) with pyridine sulfur trioxide complex and Et3N in DMSO followed by diastereomer separation by HPLC.

合成路线图解说明:

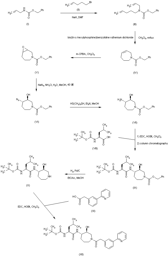
Alkylation of benzyl N-allylcarbamate (I) with 5-bromo-1-pentene (II) in the presence of NaH provides the aza diene derivative (III). Cyclization of (III) under olefin metathesis conditions, employing a ruthenium catalyst, gives rise to the tetrahydroazepine (IV). Oxidation of (IV) with m-chloroperbenzoic acid yields epoxide (V), which is subsequently converted into the trans azido alcohol (VI) upon ring opening with NaN3 and NH4Cl. Azide (VI) is reduced to the corresponding amine (VII) by using 1,3-propanedithiol. Acylation of the racemic trans amino alcohol (VII) by N-Boc-L-leucine (VIII) produces a diastereomeric mixture of amides, which are separated by column chromatography. The desired isomer (IX) is then subjected to catalytic hydrogenolysis of the N-carbobenzoxy group to afford azepine (X). Then, acylation of (X) with 3-(2-pyridyl)phenylacetic acid (XI) furnishes amide (XII).

合成路线图解说明:

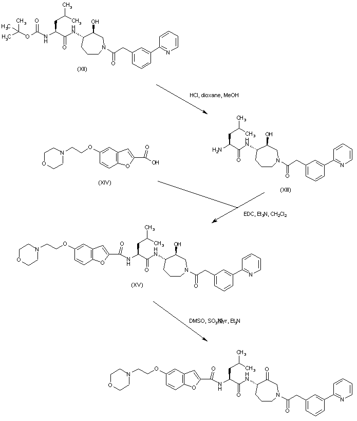
Acidic cleavage of the Boc protecting group of (XII) affords amine (XIII). This is coupled with 5-[2-(morpholin-4-yl)ethoxy]benzofuran-2-carboxylic acid (XIV) using EDC to furnish amide (XV). The azepine 3-hydroxyl group of (XV) is finally oxidized to the target ketone using DMSO in the presence of sulfur trioxide-pyridine complex.

Drug Information Express,Drug R&D,Chemical Database,Patent Search.
Copyright © 2006-2026 Drug Future. All rights reserved.Contact Us