【药物名称】
化学结构式(Chemical Structure):
参考文献No.616100
标题:Synthesis and antitumor activity of novel paclitaxel-chlorambucil hybrids
作者:Wittman, M.D.; Kadow, J.F.; Vyas, D.M.; Lee, F.L.; Rose, W.C.; Long, B.H.; Fairchild, C.; Johnston, K.
来源:Bioorg Med Chem Lett 2001,11(6),811
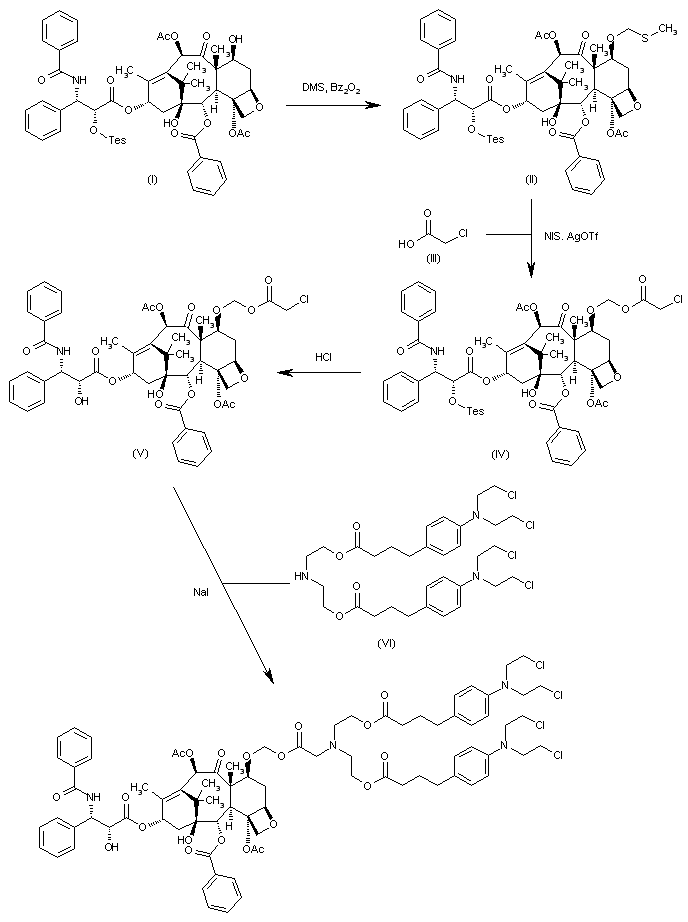
合成路线图解说明:

The reaction of 2'-O-(triethylsilyl)paclitaxel (I) with dimethyl sulfide (DMS) and Bz2O2 in acetonitrile gives the 7-O-(methylsulfanylmethyl) derivative (II), which is condensed with chloroacetic acid (III) by means of N-iodosuccinimide (NIS) and Ag-OTf in THF to yield the 7-O-(chloroacetoxymethyl) derivative (IV). The desilylation of (IV) by means of HCl in acetonitrile affords the intermediate (V), which is finally condensed with the secondary amine (VI) by means of NaI in acetone to provide the target hybrid molecule.

Drug Information Express,Drug R&D,Chemical Database,Patent Search.
Copyright © 2006-2026 Drug Future. All rights reserved.Contact Us