【药物名称】LY-448212
化学结构式(Chemical Structure):
参考文献No.47312
标题:Pseudomycin prodrugs
作者:Chen, S.H.; Sun, X.D.; Rodriguez, M.J. (Eli Lilly and Company)
来源:WO 0105813
合成路线图解说明:

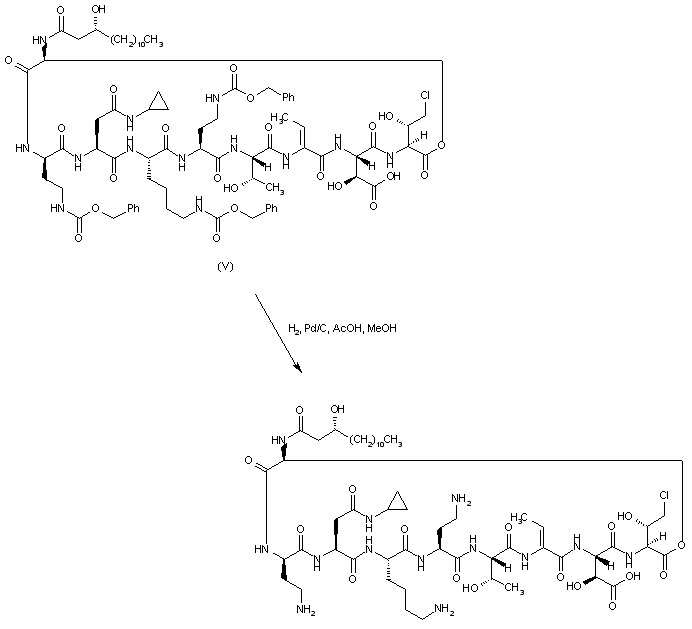
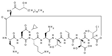
The amino groups of pseudomycin B (I) were protected by treatment with N-(benzyloxycarbonyloxy)succinimide (II). The resulting pseudomycin B tribenzyl carbamate (III) was then coupled with cyclopropylamine (IV) by using TBTU to yield amide (V).

合成路线图解说明:

The N-benzyloxycarbonyl protecting groups of (V) were finally removed by catalytic hydrogenation over Pd/C.

合成路线图解说明:

In a closely related method, pseudomycin B (I) was protected as the corresponding allyl carbamate (VII) by treatment with diallyl pyrocarbonate (VI). After coupling of (VII) with cyclopropylamine (IV), the allyloxycarbonyl groups were deprotected by means of tributyltin hydride and palladium chloride.

合成路线图解说明:

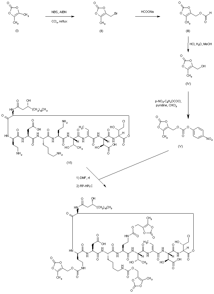
The acylating reagent (V) was prepared as follows. Allylic bromination of 4,5-dimethyl-1,3-dioxolene-2-one (I) with N-bromosuccinimide afforded bromide (II). This was converted to alcohol (IV) via formation of the formate ester (III), followed by acidic hydrolysis. Reaction of (IV) with p-nitrophenyl chloroformate and pyridine furnished carbonate (V). The acylation of pseudomycin B (VI) with carbonate (V) produced a mixture of mono-, di- and triacylated compounds from which the desired tricarbamate was isolated by reverse-phase preparative HPLC.

合成路线图解说明:

Acylation of pseudomycin B (I) with the succinimidyl ester (III), prepared from chloroformate (II), produced a mixture of mono-, di- and tri-N-acylated compounds, which were separated by means of HPLC. The required trisubstituted compound (IV) was then condensed with cyclopropylamine (V) in the presence of TBTU to afford the title amide.

参考文献No.47313
标题:Pseudomycin amide and ester analogs
作者:Vasudevan, V.; Rodriguez, M.J.; Hellman, S.L.; Krstenansky, J.L.; Sun, X.D.; Chen, S.H.; Usyatinsky, A.Y.; Galka, C.S.; Zweifel, M.J. (Eli Lilly and Company)
来源:WO 0105817
合成路线图解说明:

The amino groups of pseudomycin B (I) were protected by treatment with N-(benzyloxycarbonyloxy)succinimide (II). The resulting pseudomycin B tribenzyl carbamate (III) was then coupled with cyclopropylamine (IV) by using TBTU to yield amide (V).

合成路线图解说明:

The N-benzyloxycarbonyl protecting groups of (V) were finally removed by catalytic hydrogenation over Pd/C.

参考文献No.615995
标题:Synthesis and antifungal activities of novel 3-amido bearing pseudomycin analogues
作者:Zhang, Y.-Z.; Sun, X.; Zeckner, D.J.; Sachs, R.K.; Current, W.L.; Gidda, J.; Rodriguez, M.; Chen, S.-H.
来源:Bioorg Med Chem Lett 2001,11(7),903
合成路线图解说明:

The amino groups of pseudomycin B (I) were protected by treatment with N-(benzyloxycarbonyloxy)succinimide (II). The resulting pseudomycin B tribenzyl carbamate (III) was then coupled with cyclopropylamine (IV) by using TBTU to yield amide (V).

合成路线图解说明:

The N-benzyloxycarbonyl protecting groups of (V) were finally removed by catalytic hydrogenation over Pd/C.

合成路线图解说明:

In a closely related method, pseudomycin B (I) was protected as the corresponding allyl carbamate (VII) by treatment with diallyl pyrocarbonate (VI). After coupling of (VII) with cyclopropylamine (IV), the allyloxycarbonyl groups were deprotected by means of tributyltin hydride and palladium chloride.

Drug Information Express,Drug R&D,Chemical Database,Patent Search.
Copyright © 2006-2026 Drug Future. All rights reserved.Contact Us