【药物名称】
化学结构式(Chemical Structure):
参考文献No.21638
标题:Antivirally active N-cycloalkyl alkanol cpds.
作者:Kurono, M.; Baba, Y.; Oka, M.; Honda, N.; Matsumoto, Y.; Kakigami, T.; Iwata, N.; Ishiwata, Y.; Ohtuka, T.; Mitani, T.; Sawai, K. (Sanwa Kagaku Kenkyusho Co., Ltd.)
来源:EP 0558321; JP 1994048997
合成路线图解说明:

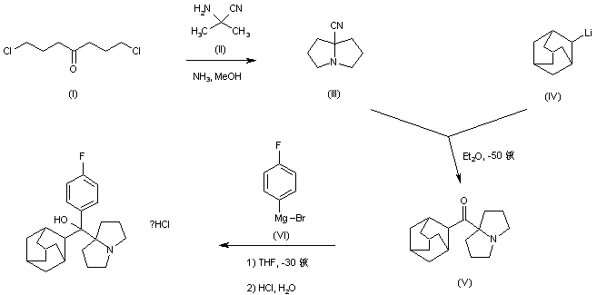
The bicyclic nitrile (III) was prepared by reaction of 1,7-dichloroheptan-4-one (I) with 2-aminoisobutyronitrile (II) in the presence of methanolic ammonia (1). Addition of 2-adamantyllithium (IV) to nitrile (III) in Et2O at -50 C furnished ketone (V). Subsequent addition of 4-fluorophenylmagnesium bromide (VI) to ketone (V) in cold THF provided the desired carbinol, which was isolated as the corresponding hydrochloride salt by lyophilization of its solution in aqueous HCl.

参考文献No.615979
标题:Synthesis and anti-influenza virus activity of tricyclic compounds with a unique amine moiety
作者:Oka, M.; Ishiwata, Y.; Iwata, N.; Honda, N.; Kakigami, T.
来源:Chem Pharm Bull 2001,49(4),379
合成路线图解说明:

The bicyclic nitrile (III) was prepared by reaction of 1,7-dichloroheptan-4-one (I) with 2-aminoisobutyronitrile (II) in the presence of methanolic ammonia (1). Addition of 2-adamantyllithium (IV) to nitrile (III) in Et2O at -50 C furnished ketone (V). Subsequent addition of 4-fluorophenylmagnesium bromide (VI) to ketone (V) in cold THF provided the desired carbinol, which was isolated as the corresponding hydrochloride salt by lyophilization of its solution in aqueous HCl.

Drug Information Express,Drug R&D,Chemical Database,Patent Search.
Copyright © 2006-2026 Drug Future. All rights reserved.Contact Us