【药物名称】
化学结构式(Chemical Structure):
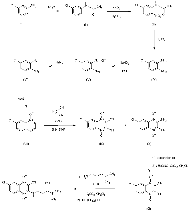
参考文献No.336039
标题:Hypoxia-selective agents derived from quinoxaline 1, 4-di-N-oxides
作者:Monge, A.; Palop, J.A.; Lopez de Cerain, A.; Senador, V.; Martinez-Crespo, F.J.; Sainz, Y.; Narro, S.; Garcia, E.; de Miguel, C.; Gonzalez, M.D.; et al.
来源:J Med Chem 1995,38(10),1786
合成路线图解说明:

The acetylation of 3-chloroaniline (I) with refluxing acetic anhydride gives the corresponding anilide (II), which is nitrated with HNO3/H2SO4 yielding 5-chloro-2-nitroacetanilide (III). The hydrolysis of (III) with hot conc. H2SO4 affords 5-chloro-2-nitroaniline (IV), which is treated with NaNO2/HCl to afford the corresponding diazonium salt (V). The reaction of (V) with sodium azide gives 2-nitro-5-chlorophenylazide (VI), which is cyclized to 5-chlorobenzofurazan-3-oxide (VII) in refluxing toluene. The condensation of (VII) with malononitrile (VIII) in DMF in the presence of a catalytic amount of triethylamine afforded a mixture of the isomeric quinoxaline-di-N-oxides (IX and X), which were separated by flash chromatography. The 7-chloro isomer (XI) was then submitted to diazotization with tert-butyl nitrite in acetonitrile in the presence of cupric chloride, which effected a Sandmeyer reaction to give the 2,6-dichloro derivative (XI). N-Alkylation of 3-(N,N-dimethylamino)propylamine (XII) with intermediate (XI) in dichloromethane in the presence of potassium carbonate, followed by treatment with concentrated hydrochloric acid in acetone afforded the title compound.

合成路线图解说明:

Acetylation of substituted aniline (I) with acetic anhydride in refluxing acetic acid affords acetanilide (II), which is then nitrated with HNO3:H2SO4 to provide 2-nitro derivative (III). Hydrolysis of (III) in concentrated H2SO4 gives substituted 2-nitroaniline (IV), which is then subjected to diazotization with NaNO2 and HCl in H2O and then treated with NaN3 and sodium acetate in H2O to furnish 2-nitrophenyl azide derivative (V). Cyclocondensation of azide (V) in refluxing toluene yields benzofuroxane (VI), which in turn is subjected to Beirut reaction with malonitrile (VII) in DMF in the presence of Et3N to yield 3-amino-2-quinoxalinecarbonitrile 1,4-di-N-oxide (VIII). The amino group of (VIII) is replaced by chlorine by using tert-butyl nitrite in acetonitrile in the presence of copper (II) chloride to give compound (IX). Finally, the target compound is obtained by reaction of (IX) with 1-(4-nitro-phenyl)piperazine (X) in dichloromethane or CHCl3 in the presence of Na2CO3 or K2CO3.

参考文献No.568911
标题:New quinoxalinecarbonitrile 1,4-di-N-oxide derivatives as hypoxic-cytotoxic agents
作者:Ortega, M.A.; Morancho, M.J.; Martinez-Crespo, F.J.; Sainz, Y.; Montoya, M.E.; Lopez de Cerain, A.; Monge, A.
来源:Eur J Med Chem 2000,35(1),21
合成路线图解说明:

Acetylation of substituted aniline (I) with acetic anhydride in refluxing acetic acid affords acetanilide (II), which is then nitrated with HNO3:H2SO4 to provide 2-nitro derivative (III). Hydrolysis of (III) in concentrated H2SO4 gives substituted 2-nitroaniline (IV), which is then subjected to diazotization with NaNO2 and HCl in H2O and then treated with NaN3 and sodium acetate in H2O to furnish 2-nitrophenyl azide derivative (V). Cyclocondensation of azide (V) in refluxing toluene yields benzofuroxane (VI), which in turn is subjected to Beirut reaction with malonitrile (VII) in DMF in the presence of Et3N to yield 3-amino-2-quinoxalinecarbonitrile 1,4-di-N-oxide (VIII). The amino group of (VIII) is replaced by chlorine by using tert-butyl nitrite in acetonitrile in the presence of copper (II) chloride to give compound (IX). Finally, the target compound is obtained by reaction of (IX) with 1-(4-nitro-phenyl)piperazine (X) in dichloromethane or CHCl3 in the presence of Na2CO3 or K2CO3.

参考文献No.612787
标题:Antimycobacterial activity of new quinoxaline-2-carbonitrile and quinoxaline-2-carbonitrile 1,4-di-N-oxide derivatives
作者:Ortega, M.A.; Montoya, M.E.; Jaso, A.; Zarranz, B.; Tirapu, I.; Aldana, I.; Monge, A.
来源:Pharmazie 2001,56(3),205
合成路线图解说明:

Acetylation of substituted aniline (I) with acetic anhydride in refluxing acetic acid affords acetanilide (II), which is then nitrated with HNO3:H2SO4 to provide 2-nitro derivative (III). Hydrolysis of (III) in concentrated H2SO4 gives substituted 2-nitroaniline (IV), which is then subjected to diazotization with NaNO2 and HCl in H2O and then treated with NaN3 and sodium acetate in H2O to furnish 2-nitrophenyl azide derivative (V). Cyclocondensation of azide (V) in refluxing toluene yields benzofuroxane (VI), which in turn is subjected to Beirut reaction with malonitrile (VII) in DMF in the presence of Et3N to yield 3-amino-2-quinoxalinecarbonitrile 1,4-di-N-oxide (VIII). The amino group of (VIII) is replaced by chlorine by using tert-butyl nitrite in acetonitrile in the presence of copper (II) chloride to give compound (IX). Finally, the target compound is obtained by reaction of (IX) with 1-(4-nitro-phenyl)piperazine (X) in dichloromethane or CHCl3 in the presence of Na2CO3 or K2CO3.

Drug Information Express,Drug R&D,Chemical Database,Patent Search.
Copyright © 2006-2026 Drug Future. All rights reserved.Contact Us