【药物名称】SC-964, SC-77964
化学结构式(Chemical Structure):
参考文献No.44766
标题:Aromatic sulfone hydroxamic acid metalloprotease inhibitor
作者:Becker, D.P.; Mischke, D.A.; Villamil, C.I.; Bedell, L.J.; Fobian, Y.M.; Hanson, G.J.; Rico, J.G.; Barta, T.E.; Kolodziej, S.A.; Tollefson, M.B.; Stehle, N.W.; Howard, S.C.; Getman, D.P.; (Pharmacia Corp.)
来源:WO 0050396
合成路线图解说明:

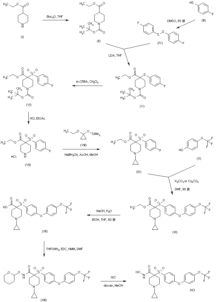
Ethyl nipecotate (I) was protected as the tert-butyl carbamate (II) upon treatment with Boc2O in THF. The lithium enolate of ester (II) was then sulfenylated with the disulfide (IV), prepared by oxidation of 4-fluorothiophenol (III), yielding thioether (V). This was further oxidized to the corresponding sulfone (VI) using meta-chloroperbenzoic acid. Acid cleavage of the Boc protecting group of (VI) gave piperidine (VII), which was converted to the N-cyclopropyl amine (IX) by reductive alkylation with [(1-ethoxycyclopropyl)oxy]trimethylsilane (VIII) in the presence of NaBH3CN. Displacement of the aryl fluoride of (IX) with 4-(trifluoromethoxy)phenol (X) under basic conditions afforded the diaryl ether (XI). After saponification of the ester group of (XI), the resultant carboxylic acid (XII) was coupled to O-(tetrahydropyranyl)hydroxylamine by means of EDC to produce the protected hydroxamate (XIII). Finally, removal of the tetrahydropyranyl protecting group of (XIII) with HCl in dioxan afforded the title compound.

参考文献No.630354
标题:Design and synthesis of 4,4-disubstituted piperidine alpha-sulphone hydroxamates as potent and selective MMP inhibitors: The discovery of SC-77964
作者:Villamil, C.I.; et al.
来源:222nd ACS Natl Meet (Aug 26 2001, Chicago) 2001,Abst MEDI 258
合成路线图解说明:

Ethyl nipecotate (I) was protected as the tert-butyl carbamate (II) upon treatment with Boc2O in THF. The lithium enolate of ester (II) was then sulfenylated with the disulfide (IV), prepared by oxidation of 4-fluorothiophenol (III), yielding thioether (V). This was further oxidized to the corresponding sulfone (VI) using meta-chloroperbenzoic acid. Acid cleavage of the Boc protecting group of (VI) gave piperidine (VII), which was converted to the N-cyclopropyl amine (IX) by reductive alkylation with [(1-ethoxycyclopropyl)oxy]trimethylsilane (VIII) in the presence of NaBH3CN. Displacement of the aryl fluoride of (IX) with 4-(trifluoromethoxy)phenol (X) under basic conditions afforded the diaryl ether (XI). After saponification of the ester group of (XI), the resultant carboxylic acid (XII) was coupled to O-(tetrahydropyranyl)hydroxylamine by means of EDC to produce the protected hydroxamate (XIII). Finally, removal of the tetrahydropyranyl protecting group of (XIII) with HCl in dioxan afforded the title compound.

Drug Information Express,Drug R&D,Chemical Database,Patent Search.
Copyright © 2006-2026 Drug Future. All rights reserved.Contact Us