【药物名称】DA-3003-2
化学结构式(Chemical Structure):
参考文献No.641454
标题:Discovery and biological evaluation of a new family of potent inhibitors of the dual specificity protein phosphatase Cdc25
作者:Lazo, J.S.; Aslan, D.C.; Southwick, E.C.; Cooley, K.A.; Ducruet, A.P.; Joo, B.; Vogt, A.; Wipf, P.
来源:J Med Chem 2001,44(24),4042
合成路线图解说明:

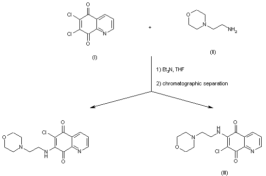
The condensation of 6,7-dichloroquinoline-5,8-dione (I) with 4-(2-aminoethyl)morpholine (II) provided a 2:1 mixture of the title 7-amino quinoline and its 6-amino regioisomer (III), which were separated by column chromatography.

合成路线图解说明:

The condensation of 6,7-dichloroquinoline-5,8-dione (I) with 4-(2-aminoethyl)morpholine (II) provided a 1:2 mixture of the title 6-amino quinoline and its 7-amino regioisomer (III), which were separated by column chromatography.

Drug Information Express,Drug R&D,Chemical Database,Patent Search.
Copyright © 2006-2026 Drug Future. All rights reserved.Contact Us