【药物名称】LY-465608
化学结构式(Chemical Structure):
参考文献No.48098
标题:Biaryl-oxa(thia)zole derivs. and their use as PPARs modulators
作者:Matthews, D.P.; Hay, D.A.; Ardecky, R.J.; Warshawsky, A.M.; Gossett, L.S.; Dominianni, S.J.; Rito, C.J.; Shuker, A.J.; Brooks, D.A.; Michellys, P.-Y.; Tyhonas, J.S. (Eli Lilly and Company; Ligand Pharmaceuticals, Inc.)
来源:EP 1206457; US 6417212; WO 0116120
合成路线图解说明:

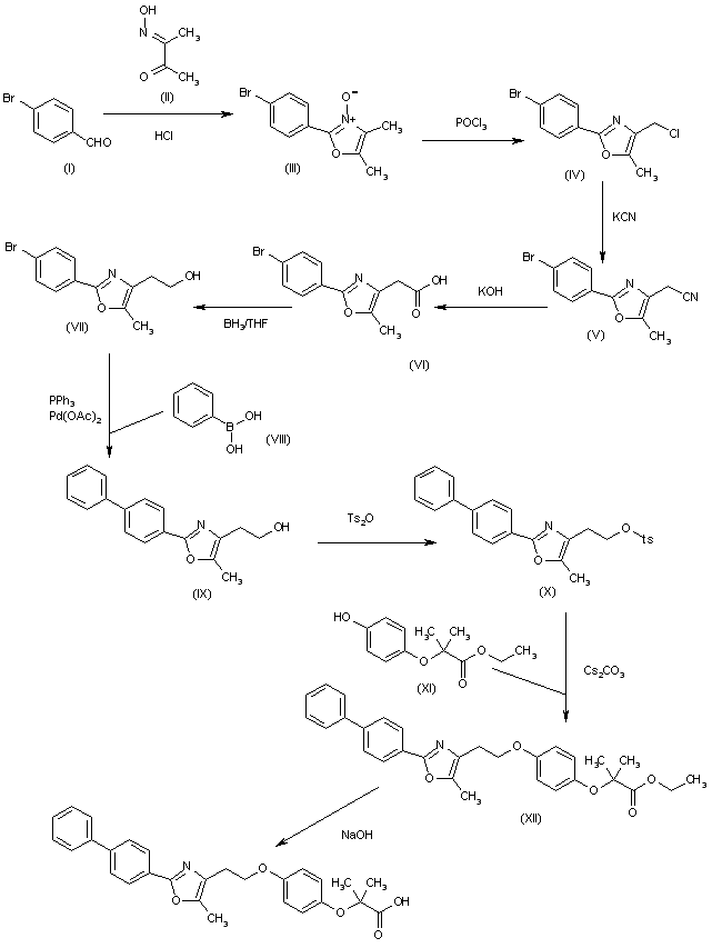
The cyclization of 4-bromobenzaldehyde (I) with butanedione monooxime (II) by means of HCl in acetic acid gives 2-(4-bromophenyl)-4,5-dimethyloxazole N-oxide (III), which is chlorinated with POCl3 in refluxing chloroform to yield the chloromethyl derivative (IV). The reaction of (IV) with KCN and KI in hot DMF affords the cyanomethyl compound (V), which is hydrolyzed with KOH in water/2-methoxyethanol to provide the acetic acid derivative (VI). The reduction of (VI) with BH3/THF in THF gives the ethanol intermediate (VII), which is condensed with phenylboronic acid (VIII) by means of PPh3 and Pd(OAc)2 in propanol to yield the biphenyl derivative (IX). The reaction of the OH group of (IX) with tosyl anhydride in dichloromethane affords the tosylate (X), which is condensed with 2-(4-hydroxyphenoxy)-2-methylpropionic aid ethyl ester (XI) by means of Cs2CO3 in hot DMF to provide the ethyl ester precursor (XII). Finally, this compound is hydrolyzed with NaOH in methanol/water to obtain the target propionic acid.

参考文献No.623742
标题:Design and synthesis of 2-methyl-2-{4-[2-(5-methyl-2-aryloxazol-4-yl)ethoxy]phenoxy}propionic acids: A new class of dual PPARalpha/gamma agonists
作者:Brooks, D.A.; Etgen, G.J.; Rito, C.J.; Shuker, A.J.; Dominianni, S.J.; Warshawsky, A.M.; Ardecky, R.J.; Paterniti, J.R.; Tyhonas, J.S.; Karanewsky, D.S.; Kauffman, R.F.; Broderick, C.L.; Oldham, B.A.; Montrose-Rafizadeh, C.; Winneroski, L.L.; et al.
来源:J Med Chem 2001,44(13),2061
合成路线图解说明:

The cyclization of 4-bromobenzaldehyde (I) with butanedione monooxime (II) by means of HCl in acetic acid gives 2-(4-bromophenyl)-4,5-dimethyloxazole N-oxide (III), which is chlorinated with POCl3 in refluxing chloroform to yield the chloromethyl derivative (IV). The reaction of (IV) with KCN and KI in hot DMF affords the cyanomethyl compound (V), which is hydrolyzed with KOH in water/2-methoxyethanol to provide the acetic acid derivative (VI). The reduction of (VI) with BH3/THF in THF gives the ethanol intermediate (VII), which is condensed with phenylboronic acid (VIII) by means of PPh3 and Pd(OAc)2 in propanol to yield the biphenyl derivative (IX). The reaction of the OH group of (IX) with tosyl anhydride in dichloromethane affords the tosylate (X), which is condensed with 2-(4-hydroxyphenoxy)-2-methylpropionic aid ethyl ester (XI) by means of Cs2CO3 in hot DMF to provide the ethyl ester precursor (XII). Finally, this compound is hydrolyzed with NaOH in methanol/water to obtain the target propionic acid.

Drug Information Express,Drug R&D,Chemical Database,Patent Search.
Copyright © 2006-2026 Drug Future. All rights reserved.Contact Us