【药物名称】BL-3730
化学结构式(Chemical Structure):
参考文献No.44864
标题:Heterocyclic cpds., intermediates thereof and elastase inhibitors
作者:Sato, F.; Inoue, Y.; Honda, S.; Komiya, M.; Takemura, T.; Omodani, T.; Shiratake, R. (Dainippon Pharmaceutical Co., Ltd.)
来源:EP 1157998; JP 2000256396; WO 0052032
合成路线图解说明:

The reaction of N-(benzyloxycarbonyl)-L-valine (I) with paraformaldehyde and Ts-OH gives the oxazolidinone (II), which is treated with trimethyl trifluoromethylsilane and CsF in THF to yield the trifluoromethyloxazolidine (III). The cleavage of the oxazolidine ring of (III) by means of ZnCl2 and NaBH4 in t-butyl methyl ether affords the protected aminoalcohol (IV), which is deprotected by means of H2 over Pd(OH)2 in ethyl acetate to provide the free aminoalcohol (V). The condensation of (V) with N-(benzyloxycarbonyl)-L-valyl-L-proline (VI) by means of EDC in dichloromethane gives the protected tripeptide analogue (VII), which is deprotected with H2 over Pd(OH)2 in ethanol to yield the tripeptide analogue (VIII). The condensation of (VIII) with the imidazolidinoneacetic acid derivative (IX) by means of EDC, as before, affords the acylated tripeptide (X), which is oxidized with DMP in dichloromethane to provide the acylated-L-valyl-L-prolyl-L-valyl-trifluoromethane (XI). Finally, this compound is deprotected with TFA in dichloromethane to give the target peptide analogue. The imidazolidinoneacetic acid derivative (IX) intermediate is obtained as follows: the reaction of 2-imidazolidinone (XII) with tert-butyl 2-bromoacetate (XIII) by means of lithium tert-butoxide in DMF gives the bis tert-butyl acetate (XIV), which is selectively monohydrolyzed by means of KOH in hot ethanol/water to afford the target imidazolidinoneacetic acid derivative (IX).

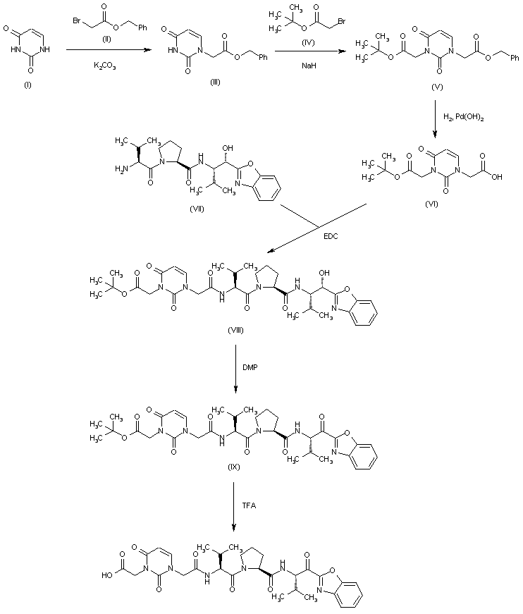
合成路线图解说明:

The reaction of pyrimidine-2,4(1H,3H)-dione (I) with benzyl 2-bromoacetate (II) by means of K2CO3 in DMF gives the pyrimidine-1-acetic acid benzyl ester (III), which is condensed with tert-butyl 2-bromoacetate (IV) by means of NaH in DMF to yield the pyrimidine bis acetate (V). Selective deprotection of the benzyl ester of (V) by means of H2 over Pd(OH)2 in ethyl acetate affords the mono acetic acid derivative (VI), which is condensed with the free amino group of the tripeptide analogue (VII) by means of EDC in pyridine to provide the acylated tripeptide analogue (VIII). The oxidation of the secondary OH group of (VIII) by means of DMP in dichloromethane furnishes the acylated 2-(L-valyl-L-prolyl-L-valyl)benzoxazole derivative (IX), which is finally deprotected with TFA in dichloromethane to give the target tripeptide analogue.

Drug Information Express,Drug R&D,Chemical Database,Patent Search.
Copyright © 2006-2026 Drug Future. All rights reserved.Contact Us