【药物名称】CRL-8277
化学结构式(Chemical Structure):
参考文献No.45009
标题:Pharmaceutical compsn. based on polyaromatic cpds.
作者:Kiss, R.; Bontemps-Subielos, N.; Frydman, A.; Darro, F.; Bastide, J.; Deflourne, E. (Laboratoires L. Lafon)
来源:FR 2790954; WO 0055160
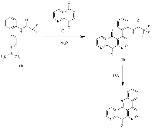
合成路线图解说明:

The cyclization of quinoline-5,8-dione (I) with dimethylhydrazone (II) in refluxing acetic anhydride gives the pyridoquinolinedione (III), which is finally cyclized to the target pentacyclic ketone by means of TFA in refluxing dichloromethane.

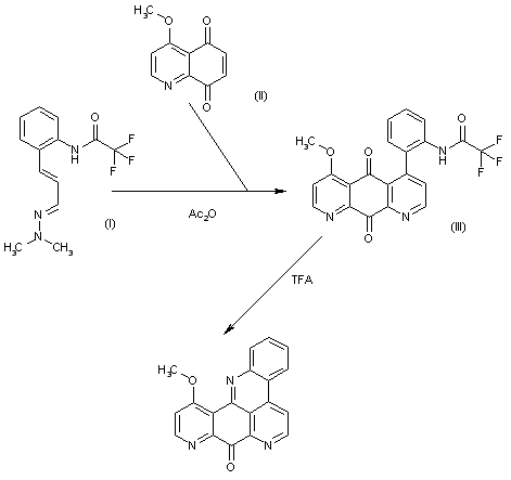
合成路线图解说明:

The cyclization of dimethylhydrazone (I) with 4-methoxyquinoline-5,8-dione (II) in refluxing acetic anhydride gives the pyridoquinolinedione (III), which is finally cyclized to the target pentacyclic ketone by means of TFA in refluxing dichloromethane.

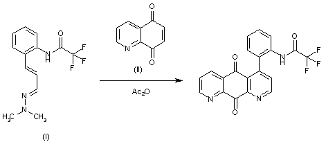
合成路线图解说明:

The cyclization of 4-methoxyquinoline-5,8-dione (I) with dimethylhydrazone (II) in refluxing acetic anhydride gives the target pyridoquinolinedione.

合成路线图解说明:

The cyclization of dimethylhydrazone (I) with quinoline-5,8-dione (II) in refluxing acetic anhydride gives the target pyridoquinolinedione.

参考文献No.633494
标题:Synthesis and characterization of the antitumor activities of analogues of meridine, a marine pyridoacridine alkaloid
作者:Delfourne, E.; Darro, F.; Bontemps-Subielos, N.; Decaestecker, C.; Bastide, J.; Frydman, A.; Kiss, R.
来源:J Med Chem 2001,44(20),3275
合成路线图解说明:

The cyclization of quinoline-5,8-dione (I) with dimethylhydrazone (II) in refluxing acetic anhydride gives the pyridoquinolinedione (III), which is finally cyclized to the target pentacyclic ketone by means of TFA in refluxing dichloromethane.

合成路线图解说明:

The cyclization of dimethylhydrazone (I) with 4-methoxyquinoline-5,8-dione (II) in refluxing acetic anhydride gives the pyridoquinolinedione (III), which is finally cyclized to the target pentacyclic ketone by means of TFA in refluxing dichloromethane.

合成路线图解说明:

The cyclization of 4-methoxyquinoline-5,8-dione (I) with dimethylhydrazone (II) in refluxing acetic anhydride gives the target pyridoquinolinedione.

合成路线图解说明:

The cyclization of dimethylhydrazone (I) with quinoline-5,8-dione (II) in refluxing acetic anhydride gives the target pyridoquinolinedione.

Drug Information Express,Drug R&D,Chemical Database,Patent Search.
Copyright © 2006-2026 Drug Future. All rights reserved.Contact Us