| 参考文献No. | 41998 |
| 标题: | Cpds. and methods for inhibition of HIV and related viruses |
| 作者: | Lind, P.T.; Noreen, R.; Ternansky, R.J.; Morin, J.M. Jr. (Medivir AB) |
| 来源: | WO 9303022 |
 |
| 合成路线图解说明: Treatment of 2-amino-5-bromopyridine (I) with 2-(1-cyclohexenyl)ethyl isothiocyanate (II) in hot N-methylpyrrolidinone produced the target thiourea. |
 |
| 合成路线图解说明: Treatment of 2-amino-5-chloropyridine (I) with 2-(1-cyclohexenyl)ethyl isothiocyanate (II) in N,N-dimethylformamide at 90 C produced the target thiourea. |
 |
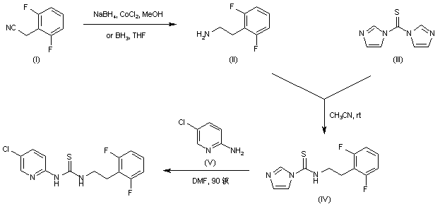
| 合成路线图解说明: 2,6-Difluorophenethylamine (II) was prepared by reduction of nitrile (I) with either NaBH4 in the presence of CoCl2 or borane in THF. Reaction of amine (II) with thiocarbonyldiimidazole (III) furnished the thioimidazolide (IV). This was finally condensed with 2-amino-5-chloropyridine (V), yielding the corresponding thiourea. |