【药物名称】
化学结构式(Chemical Structure):
参考文献No.45283
标题:Pyrazolopyrimidines as CRF antagonists
作者:Gilligan, P.J.; Wilde, R.G. (DuPont Pharmaceuticals Co.)
来源:WO 0059908
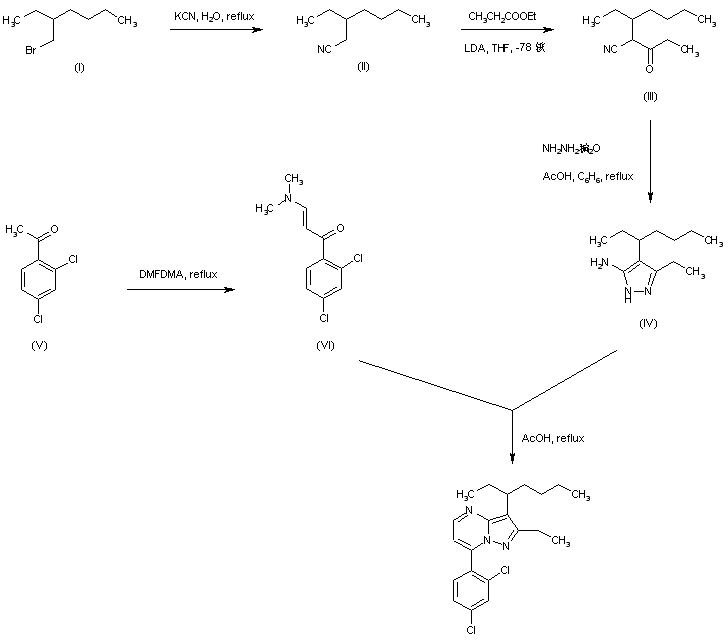
合成路线图解说明:

Reaction of 2-ethyl-1-bromohexane (I) with potassium cyanide afforded nitrile (II). Claisen condensation of ethyl propionate with nitrile (II) in the presence of LDA furnished keto nitrile (III), which was further cyclized to the pyrazole (IV) upon treatment with hydrazine. Treatment of 2',4'-dichloroacetophenone (V) with dimethylformamide dimethylacetal gave rise to the enamino ketone (VI). The title pyrazolopyrimidine was then obtained by condensation between aminopyrazole (IV) and enamino ketone (VI) in refluxing HOAc.

参考文献No.614679
标题:Non-peptide CRF1 antagonists: Pyrazolo[1,5-a]pyrimidines and pyrazolo[5,1-c][1,2,3]triazines
作者:Wilde, R.G.; Gilligan, P.J.; Olson, R.E.; Zaczek, R.; Carter, K.L.; Klaczkiewicz, J.D.
来源:221st ACS Natl Meet (April 1 2001, San Diego) 2001,Abst MEDI 95
合成路线图解说明:

Reaction of 2-ethyl-1-bromohexane (I) with potassium cyanide afforded nitrile (II). Claisen condensation of ethyl propionate with nitrile (II) in the presence of LDA furnished keto nitrile (III), which was further cyclized to the pyrazole (IV) upon treatment with hydrazine. Treatment of 2',4'-dichloroacetophenone (V) with dimethylformamide dimethylacetal gave rise to the enamino ketone (VI). The title pyrazolopyrimidine was then obtained by condensation between aminopyrazole (IV) and enamino ketone (VI) in refluxing HOAc.

Drug Information Express,Drug R&D,Chemical Database,Patent Search.
Copyright © 2006-2026 Drug Future. All rights reserved.Contact Us