【药物名称】(-)-Desoxyepothilone A, Desoxyepothilone A, Epothilone C, dEpoA
化学结构式(Chemical Structure):
参考文献No.48448
标题:A process for the reduction of oxiranyl epothilones to olefinic epothilones
作者:Johnson, J.A.; Kim, S.-H. (Bristol-Myers Squibb Co.)
来源:WO 0071521
合成路线图解说明:

The desepoxidation of epothilone B (I) by means of WCl6 and n-BuLi in THF gives the target epothilone D.

合成路线图解说明:

The desepoxidation of epothilone A (I) by means of bis(cyclopentadienyl)titanium dichloride and magnesium in THF gives the target epothilone C.

参考文献No.418518
标题:Synthesis of epothilones A and B in solid and solution phase
作者:Nicolaou, K.C.; Winssinger, N.; Pastor, J.; Ninkovic, S.; Sarabia, F.; He, Y.; Vourloumis, D.; Yang, Z.; Li, T.; Giannakakou, P.; Hamel, E.
来源:Nature 1997,387(6630),268
合成路线图解说明:

Butane-1,4-diol (II) is anchored to chloromethyl-RESIN (I) by means of tetrabutylammonium iodide and NaH in DMF, and without isolation is treated with PPh3 I2 and imidazole to yield the phosphonium salt (III), which is treated with NaHMDS in THF/DMSO, affording the phosphorane (IV). The condensation of (IV) with the chiral aldehyde (V) in THF provides the anchored olefin (VI), which is desilylated with HF in pyridine/THF. The resulting alcohol is submitted to a Swern oxidation to give the anchored aldehyde (VII). The condensation of (VII) with the ketoacid (VIII) by means of LDA and ZnCl2 in THF yields the adduct (IX) as a diastereomeric mixture. The esterification of carboxylic acid (IX) with the alcohol (X) by means of DCC and DMAP affords the corresponding ester (XI), which is submitted to a macrocyclic ring-closing metathesis catalyzed by a ruthenium catalyst providing, after chromatographic separation of isomers, the macrocyclic lactone (XII). The desilylation of (XII) by means of TFA in dichloromethane gives the precursor (XIII), which is finally epoxidated with methyl(trifluoromethyl)dioxirane (XI) to yield the target epothilone A.

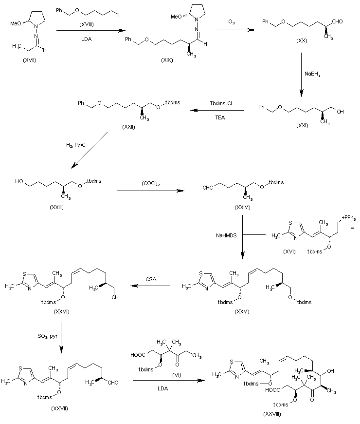
合成路线图解说明:

The condensation of the phosphonium salt (I) with the ketone (II) by means of NaHMDS in THF gives the diene (III), which is selectively monodeprotected with CSA in methanol/dichloromethane to yield the primary alcohol (IV). The oxidation of (IV) with SO3/pyridine affords the corresponding aldehyde (V), which is condensed with the ketoacid (VI) by means of LDA in THF to provide the heptadienoic acid (VII). The protection of the OH group of (VII) y means of Tbdms-OTf and lutidine in dichloromethane gives the fully silylated compound (VIII), which is selectively monodeprotected with TBAF in THF to yield the hydroxyacid (IX). The macrolactonization of (IX) by means of 2,4,6-trichlorobenzoyl chloride and TEA in THF affords the macrolactone (X), which is deprotected with TFA in dichloromethane to provide the precursor (XI). Finally, this compound is epoxidized by means of methyl(trifluoromethyl)dioxirane in acetonitrile to furnish the target epothilone B.

合成路线图解说明:

Butane-1,4-diol (II) is anchored to chloromethyl-RESIN (I) by means of tetrabutylammonium iodide and NaH in DMF, and without isolation is treated with PPh3 I2 and imidazole to yield the phosphonium salt (III), which is treated with NaHMDS in THF/DMSO, affording the phosphorane (IV). The condensation of (IV) with the chiral aldehyde (V) in THF provides the anchored olefin (VI), which is desilylated with HF in pyridine/THF. The resulting alcohol is submitted to a Swern oxidation to give the anchored aldehyde (VII). The condensation of (VII) with the ketoacid (VIII) by means of LDA and ZnCl2 in THF yields the adduct (IX) as a diastereomeric mixture. The esterification of carboxylic acid (IX) with the alcohol (X) by means of DCC and DMAP affords the corresponding ester (XI), which is submitted to a macrocyclic ring-closing metathesis catalyzed by a ruthenium catalyst providing, after chromatographic separation of isomers, the macrocyclic lactone (XII). Compound (XII) is finally desilylated by means of TFA in dichloromethane to give the target epothilone C.

参考文献No.418523
标题:Total synthesis of (-)-epothilone A
作者:Schinzer, D.; et al.
来源:Angew Chem. Int Ed Engl 1997,36(5),523
合成路线图解说明:

The synthesis of intermediate tridecenoic acid (VII) has been performed as follows: The condensation of previously reported 1,3-dioxane intermediate (I) (see intermediate (X) in scheme no. 22255601a) with 2(S)-methyl-6-heptenal (II) by means of LDA in THF gives the hydroxyundecenone (III), which is treated with pyridinium p-toluenesulfonate (PPTS) in methanol to cleave the 1,3-dioxane ring and yield the trihydroxy compound (IV). The silylation of (IV) with Tbdms-OTf and lutidine in dichloromethane affords the fully silylated compound (V), which is selectively monodesilylated with CSA to provide the primary alcohol (VI). Finally, this alcohol is oxidized by means of pyridinium dichromate (PDC) in DMF to furnish the desired tridecenoic acid intermediate (VII).

合成路线图解说明:

The silylation of 2-methyl-5-(tert-butyldimethylsilyloxy)-1-penten-3(s)-ol (VIII) with Tbdms-Cl and imidazole in DMF gives the disilylated compound (IX), which is treated with ozone and PPh3 in dichloromethane to yield the 2-pentanone (X). The condensation of (X) with phosphonate (XI) by means of BuLi in THF yields the fully silylated diol (XII), which is selectively monodesilylated with HF in acetonitrile to afford the primary alcohol (XIII). The oxidation of (XIII) with DMP in dichloromethane affords the aldehyde (XIV), which is methylenated with the phosphonium salt (XV) and NaNH2 in THF to provide the silylated hexadienol (XVI). The reaction of (XVI) with TBAF in THF gives the free secondary alcohol (XVII), which is esterified with the intermediate tridecenoic acid (VII) by means of DCC and DMAP in dichloromethane, yielding the ester (XVIII). Ring-closing metathesis of (XVIII), catalyzed by a Ru catalyst, affords the macrolactone (XIX), which is desilylated by means of HF in acetonitrile to furnish the dihydroxymacrolactone (XX). Finally, the double bond of (XX) is epoxidated with dimethyldioxirane (DMDO) in dichloromethane to provide the target epothilone A.

合成路线图解说明:

The reaction of 3-methyl-2-butenylmagnesium bromide (XVI) with propanal (XVII) gives racemic hexenol (XVIII), which is submitted to enzymatic resolution with ChiroCLEC-PC dry enzyme, yielding the R-enantiomer (XIX). The esterification of (XIX) with bromoacetyl bromide (XX) and dimethylaniline (DMA) affords the corresponding ester (XXI), which is oxidized with O3 and trimethyl phosphite and cyclized with SmI2 in THF to provide the chiral tetrahydropyranone (XXII). The reduction of (XXII) with Red-Al, followed by cyclization with 2-methoxypropene (XXIII) and PPTS, gives the acetonide (XXIV), which is oxidized with PPTS and NMO to provide the protected dihydroxyketone (XXV). The condensation of the ketone (XXV) with 2(S)-methyl-6-heptenal (XXVI) by means of LDA in THF gives the hydroxyundecenone (XXVII), which is treated with pyridinium p-toluenesulfonate (PPTS) in methanol to cleave the 1,3-dioxane ring and yield the trihydroxy compound (XXVIII). The silylation of (XXVIII) with Tbdms-OTf and lutidine in dichloromethane affords the fully silylated compound (XXIX), which is selectively monodesilylated with CSA to provide the primary alcohol (XXX). Finally, this alcohol is oxidized by means of pyridinium dichromate (PDC) in DMF to furnish the target tridecenoic acid intermediate (XII).

合成路线图解说明:

The condensation of already reported 1,3-dioxane intermediate (I) (see intermediate (X) in scheme no. 22255601a) with 2(S)-methyl-6-heptenal (II) by means of LDA in THF gives the hydroxyundecenone (III), which is treated with pyridinium p-toluenesulfonate (PPTS) in methanol to cleave the 1,3-dioxane ring and yield the trihydroxy compound (IV). The silylation of (IV) with Tbdms-OTf and lutidine in dichloromethane affords the fully silylated compound (V), which is selectively monodesilylated with CSA to provide the primary alcohol (VI). Finally, this alcohol is oxidized by means of pyridinium dichromate (PDC) in DMF to furnish the desired tridecenoic acid intermediate (VII).

合成路线图解说明:

The silylation of 2-methyl-5-(tert-butyldimethylsilyloxy)-1-penten-3(s)-ol (VIII) with Tbdms-Cl and imidazole in DMF gives the disilylated compound (IX), which is treated with ozone and PPh3 in dichloromethane to yield the 2-pentanone (X). The condensation of (X) with phosphonate (XI) by means of BuLi in THF yields the fully silylated diol (XII), which is selectively monodesilylated with HF in acetonitrile to afford the primary alcohol (XIII). The oxidation of (XIII) with DMP in dichloromethane affords the aldehyde (XIV), which is methylenated with the phosphonium salt (XV) and Na-NH2 in THF to provide the silylated hexadienol (XVI). The reaction of (XVI) with TBAF in THF gives the free secondary alcohol (XVII), which is esterified with the intermediate tridecenoic acid (VII) by means of DCC and DMAP in dichloromethane yielding the ester (XVIII). Ring-closing metathesis of (XVIII), catalyzed by a Ru catalyst, affords the macrolactone (XIX), which is finally desilylated by means of HF in acetonitrile to furnish the target epothilone C.

参考文献No.594291
标题:Total synthesis of apothilone A
作者:Zhu, B.; Panek, J.S.
来源:Org Lett 2000,2(17),2575
合成路线图解说明:

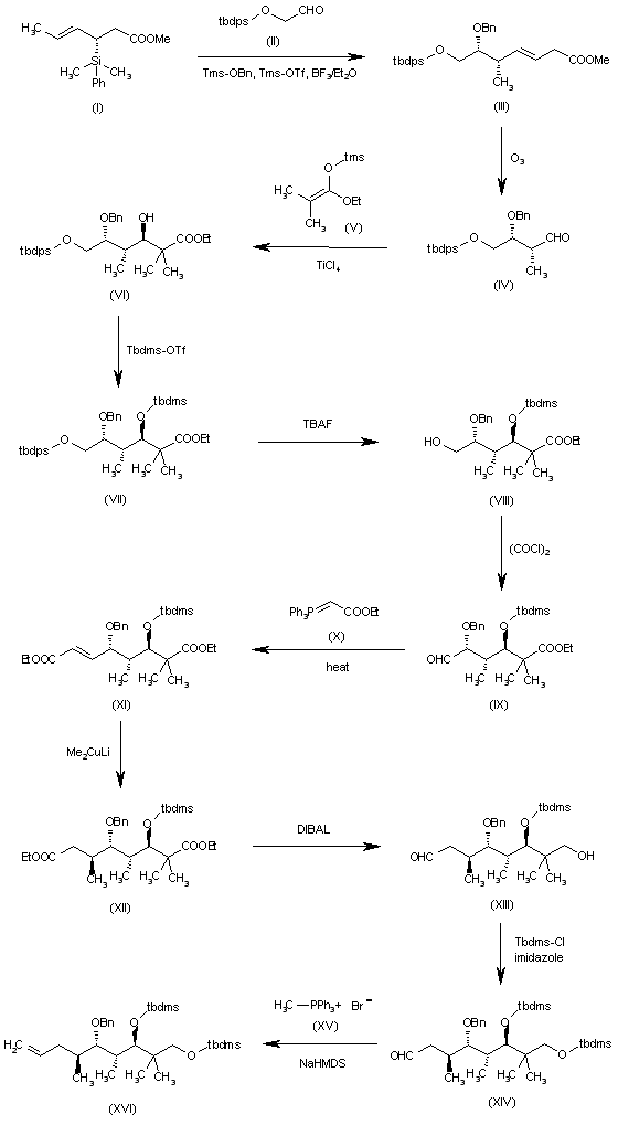
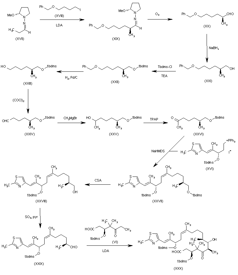
Synthesis of intermediate (XVI): The condensation of 3(S)-(phenyldimethylsilyl)-4(E)-hexenoic acid methyl ester (I) with 2-(tert-butyldimethylsilyloxy)acetaldehyde (II) by means of Tms-OBn, Tms-OTf and BF3/Et2O in dichloromethane gives the 3(E)-heptenoic ester (III), which is ozonolyzed with O3 and pyridine in methanol/dichloromethane to yield the aldehyde (IV). The condensation of (IV) with the silyl ketal (V) by means of TiCl4 in dichloromethane affords the partially protected trihydroxyester (VI), which is silylated with Tbdms-OTf and lutidine in dichloromethane to provide the fully protected ester (VII). Regioselective monodesilylation of (VII) by means of TBAF/HOAc in THF gives the primary alcohol (VIII), which is oxidized with oxalyl chloride to the corresponding aldehyde (IX). The condensation of (IX) with phosphorane (X) in refluxing benzene yields the octenedioic diester (XI), which is methylated with Me2CuLi and Tms-Cl in THF, affording the tetramethyl diester (XII). The two ester groups of (XII) were easily differentiated by a reduction with DIBAL in dichloromethane, providing the 8-hydroxyoctanal derivative (XIII), which was silylated with TBdms-Cl and imidazole in DMF to give the fully protected aldehyde (XIV). Finally, this compound was subjected to a Wittig olefination reaction with methyltriphenylphosphonium bromide (XV) and NaHMDS in THF to yield the desired intermediate (XVI).

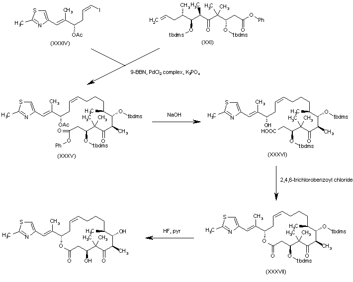
合成路线图解说明:

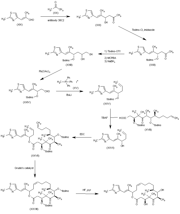
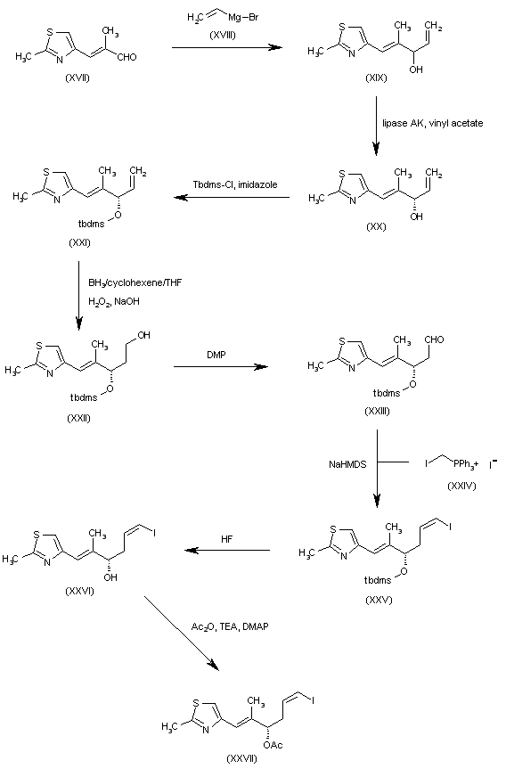
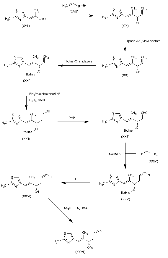
Synthesis of the thiazole intermediate (XXVI): The Grignard reaction of 2-methyl-3-(2-methylthiazol-4-yl)-2(E)-propenal (XVII) with vinylmagnesium bromide (XVIII) in THF gives the racemic secondary alcohol (XIX), which is submitted to enzymatic optical resolution with Pseudomonas AK lipase and vinyl acetate to yield the desired (S)-secondary alcohol (XX) along with the (R)-acetate, which is easily separated by chromatography. The silylation of (XX) with Tbdms-Cl and imidazole in DMF affords the silyl ether (XXI). The selective hydroboration of the terminal double bond of (XXI) with dicyclohexylborane followed by oxidation with H2O2 provided the primary alcohol (XXII), which is oxidized with DMP in dichloromethane to give the corresponding aldehyde (XXIII). The reaction of (XXIII) with the iodomethyl phosphonium salt (XXIV) by means of NaHMDS in THF yields the cis-iodovinyl compound (XXV), which is desilylated with aqueous HF in acetonitrile, affording the corresponding alcohol (XXVI). Finally, this alcohol is treated with acetic anhydride, TEA and DMAP to provide the desired thiazole intermediate (XXVII).

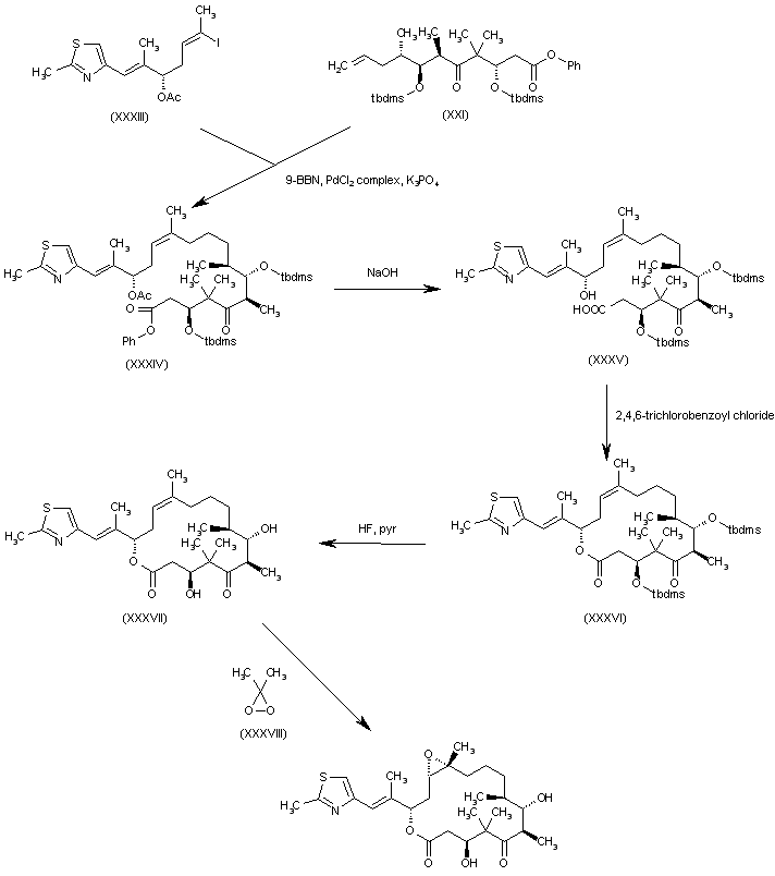
合成路线图解说明:

Assembly of the target compound: The condensation of intermediates (XVI) and (XXVII) by means of 9-BBN, a Pd catalyst and Cs2CO3 in THF/DMF gives the adduct (XXVIII), which is selectively deprotected with HF/pyridine in THF, yielding the primary alcohol (XXIX). The oxidation of (XXIX) with DMP in dichloromethane affords the aldehyde (XXX), which is condensed with the silyl enol ether (XXXI) by means of TiCl4 in dichloromethane to provide the isopropyl carboxylate (XXXII). The desilylation of (XXXII) with TBAF in THF gives the dihydroxyester (XXXIII), which is selectively monosilylated with Tbdms-Cl and imidazole, yielding the hydroxyester (XXXIV). The oxidation of (XXXIV) with DMP in dichloromethane affords the ketoester (XXXV), which was submitted to a basic hydrolysis of its acetoxy and isopropyl ester groups with NaOH in refluxing methanol to furnish the hydroxyacid (XXXVI).

合成路线图解说明:

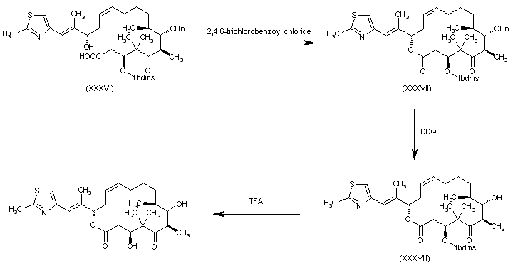
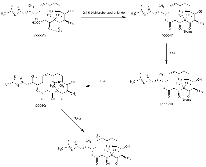
The Yamaguchi macrolactonization of (XXXVI) by means of 2,4,6-trichlorobenzoyl chloride and TEA in THF gives the macrolactone (XXXVII), which is debenzylated with DDQ, yielding (XXXVIII) and desilylated with TFA to afford the dihydroxylactone (XXXIX). Finally, this compound is epoxidated by means of H2O2 and acetonitrile in methanol/water.

合成路线图解说明:

Synthesis of intermediate (XVI): The condensation of 3(S)-(phenyldimethylsilyl)-4(E)-hexenoic acid methyl ester (I) with 2-(tert-butyldimethylsilyloxy)acetaldehyde (II) by means of Tms-OBn, Tms-OTf and BF3/Et2O in dichloromethane gives the 3(E)-heptenoic ester (III), which is ozonolyzed with O3 and pyridine in methanol/dichloromethane to yield the aldehyde (IV). The condensation of (IV) with the silyl ketal (V) by means of TiCl4 in dichloromethane affords the partially protected trihydroxyester (VI), which is silylated with Tbdms-OTf and lutidine in dichloromethane to provide the fully protected ester (VII). Regioselective monodesilylation of (VII) by means of TBAF/AcOH in THF gives the primary alcohol (VIII), which is oxidized with oxalyl chloride to the corresponding aldehyde (IX). The condensation of (IX) with phosphorane (X) in refluxing benzene yields the octenedioic diester (XI), which is methylated with Me2CuLi and Tms-Cl in THF, affording the tetramethyl diester (XII). The two ester groups of (XII) were easily differentiated by a reduction with DIBAL in dichloromethane, providing the 8-hydroxyoctanal derivative (XIII), which was silylated with TBdms-Cl and imidazole in DMF to give the fully protected aldehyde (XIV). Finally, this compound was subjected to a Wittig olefination reaction with methyltriphenylphosphonium bromide (XV) and NaHMDS in THF to yield the desired intermediate (XVI).

合成路线图解说明:

Synthesis of the thiazole intermediate (XXVI): The Grignard reaction of 2-methyl-3-(2-methylthiazol-4-yl)-2(E)-propenal (XVII) with vinylmagnesium bromide (XVIII) in THF gives the racemic secondary alcohol (XIX), which is submitted to enzymatic optical resolution with Pseudomonas AK lipase and vinyl acetate to yield the desired (S)-secondary alcohol (XX) along with the (R)-acetate, which is easily separated by chromatography. The silylation of (XX) with Tbdms-Cl and imidazole in DMF affords the silyl ether (XXI). The selective hydroboration of the terminal double bond of (XXI) with dichlohexylborane followed by oxidation with H2O2 provides the primary alcohol (XXII), which is oxidized with DMP in dichloromethane to give the corresponding aldehyde (XXIII). The reaction of (XXIII) with the iodomethyl phosphonium salt (XXIV) by means of NaHMDS in THF yields the cis-iodovinyl compound (XXV), which is desilylated with aqueous HF in acetonitrile affording the corresponding alcohol (XXVI). Finally, this alcohol is treated with acetic anhydride, TEA and DMAP to provide the desired thiazole intermediate (XXVII).

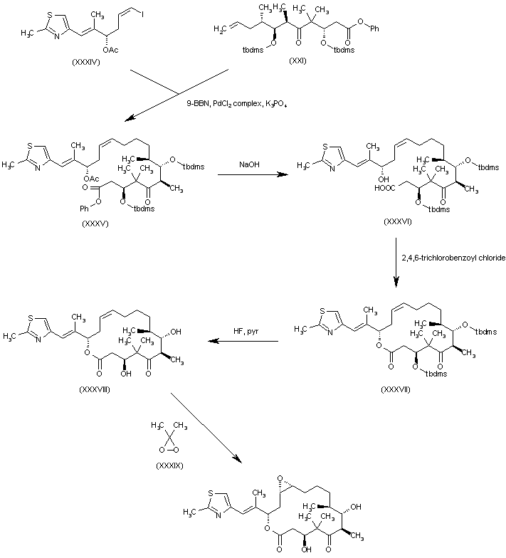
合成路线图解说明:

Assembly of the target compound: The condensation of intermediates (XVI) and (XXVII) by means of 9-BBN, a Pd catalyst and Cs2CO3 in THF/DMF gives the adduct (XXVIII), which is selectively deprotected with HF/pyridine in THF, yielding the primary alcohol (XXIX). The oxidation of (XXIX) with DMP in dichloromethane affords the aldehyde (XXX), which is condensed with the silyl enol ether (XXXI) by means of TiCl4 in dichloromethane to provide the isopropyl carboxylate (XXXII). The desilylation of (XXXII) with TBAF in THF gives the dihydroxyester (XXXIII), which is selectively monosilylated with Tbdms-Cl and imidazole, yielding the hydroxyester (XXXIV). The oxidation of (XXXIV) with DMP in dichloromethane affords the ketoester (XXXV), which was submitted to a basic hydrolysis of its acetoxy and isopropyl ester groups with NaOH in refluxing methanol to furnish the hydroxyacid (XXXVI).

合成路线图解说明:

The Yamauchi macrolactonization of (XXXVI) by means of 2,4,6-trichlorobenzoyl chloride and TEA in THF gives the macrolactone (XXXVII), which is debenzylated with DDQ, yielding (XXXVIII), finally desilylated with TFA to afford the target epothilone C.

参考文献No.603177
标题:Enantioselective total synthesis of epothilones A and B using multifunctional asymmetric catalysis
作者:Sawada, D.; et al.
来源:J Am Chem Soc 2000,122(43),10521
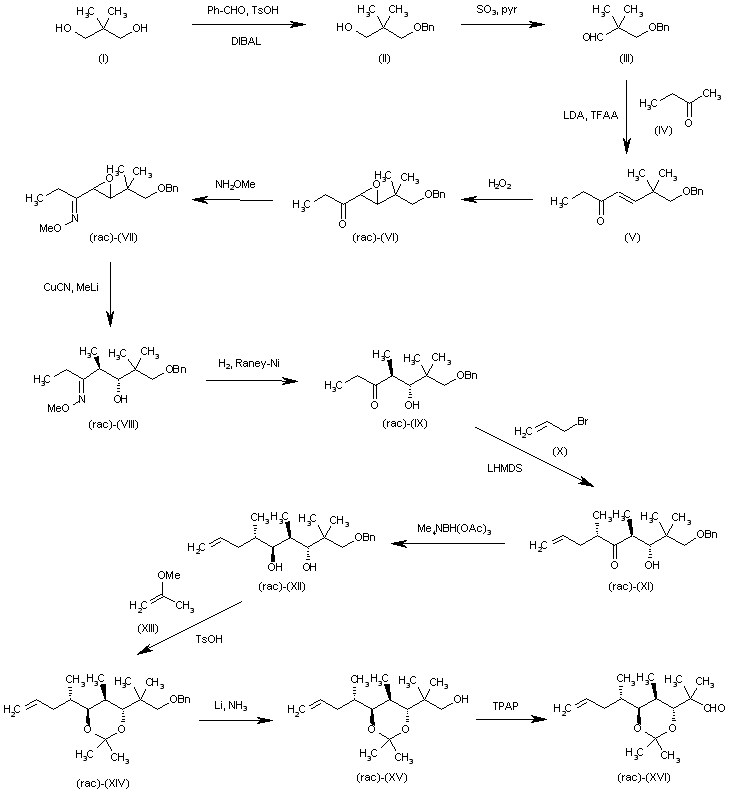
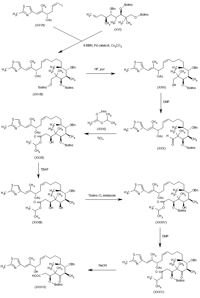
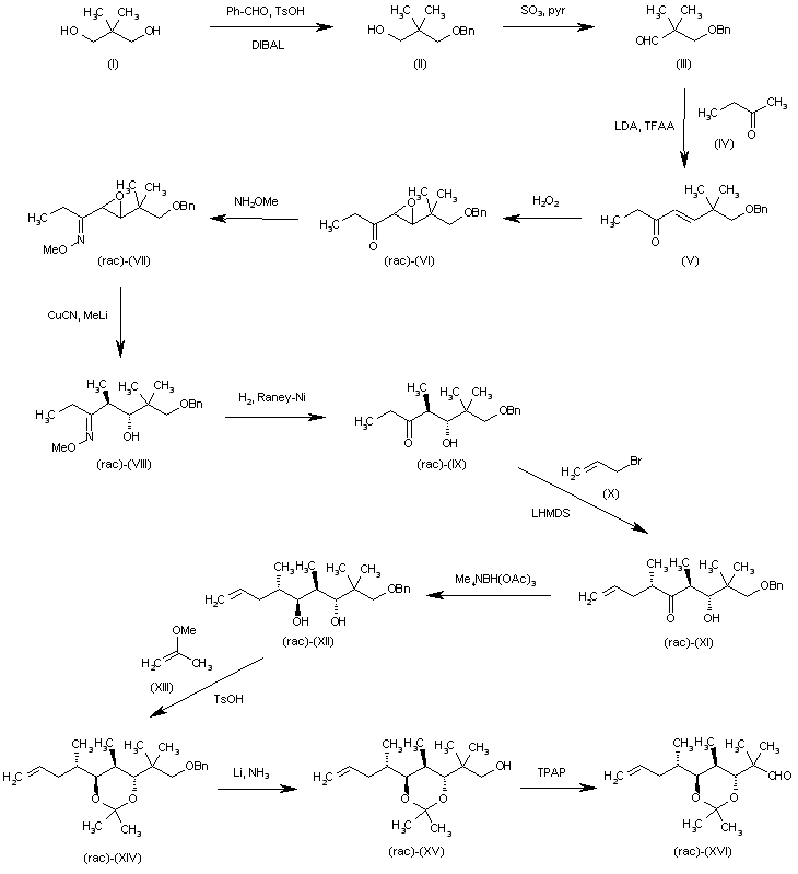
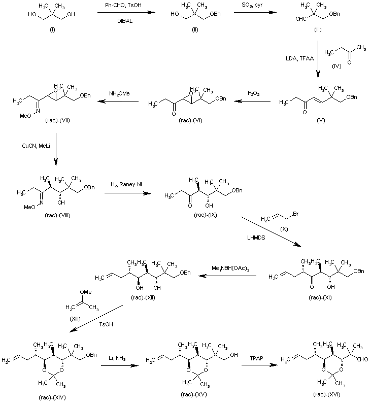
合成路线图解说明:

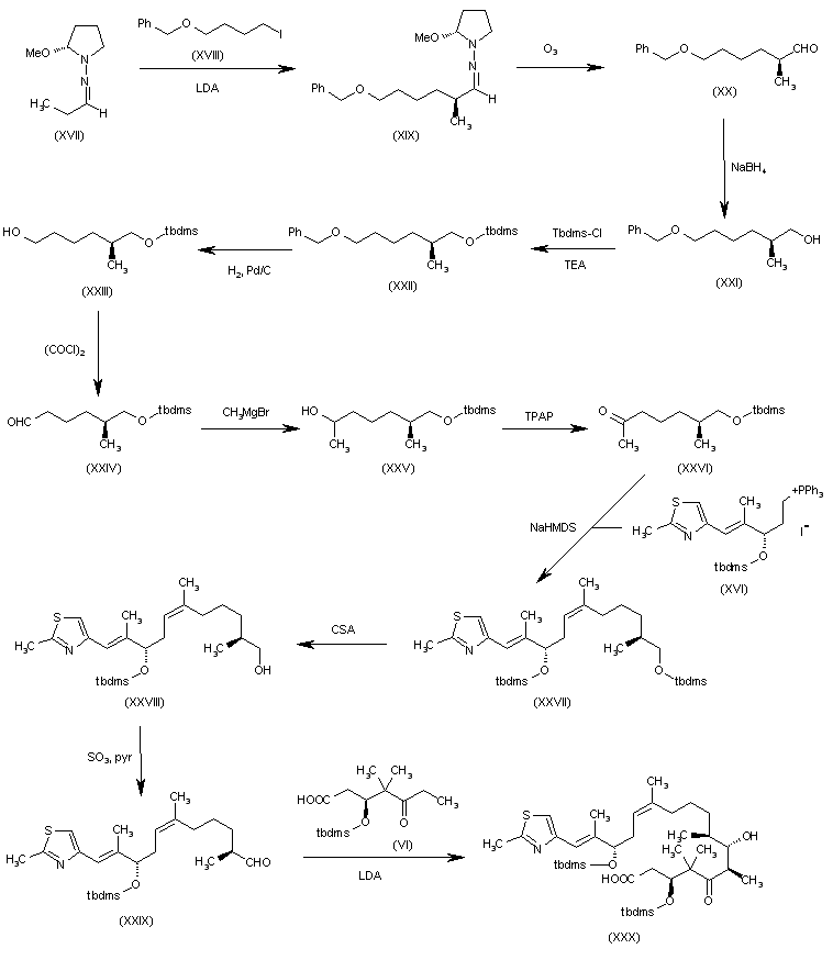
Synthesis of undecenoic ester intermediate (XXI): The reaction of 2,2-dimethylpropane-1,3-diol (I) with benzaldehyde, TsOH and DIBAL gives the monobenzyl ether (II), which is oxidized with SO3/pyridine in dichloromethane, yielding the propionaldehyde (III). The condensation of (III) with butanone (IV) by means of LDA and TFAA affords the heptenone (V), which is epoxidated with H2O2 and NaOH in aq. methanol to provide the racemic epoxide (rac)-(VI). The reaction of ketone (VI) with O-methylhydroxylamine and NaOAc in methanol gives the corresponding oxime (rac)-(VII), which is treated with CuCN and Me-Li in ethyl ether to yield the beta-hydroxy oxime (rac)-(VIII). The treatment of (VIII) with H2 and Raney-Ni in acetone/THF affords the corresponding beta-hydroxy ketone (rac)-(IX), which is allylated with allyl bromide (X) and LHMDS in the presence of 1,3-dimethylperhydropyrimidin-2-one to give the beta-hydroxynonen-5-one (rac)-(XI). The reduction of (XI) with Me4NBH(OAc)3 and HOAc in acetonitrile yields the diol (rac)-(XII), which is protected with 2-methoxypropene (XIII) and TsOH, affording the 1,3-dioxane (rac)-(XIV). The reaction of (XIV) with Li in liquid ammonia, tert-butanol and THF provides the debenzylated primary alcohol (rac)-(XV), which is oxidized with tetrapropylammonium perrhuthenate in dichloromethane, giving the corresponding aldehyde (rac)-(XVI).

合成路线图解说明:

The asymmetric catalytic aldol reaction of aldehyde (XVI) with acetophenone by means of a chiral lanthane catalyst yields a diastereomeric mixture of hydroxyketones from which the desired isomer (XVII) is isolated. The Baeyer-Villiger oxidation of (XVII) with trimethylsilyl peroxide and SnCl4 affords the phenyl ester (XVIII), which is deprotected with BCl3 in dichloromethane, giving the trihydroxyester (XIX). The selective protection of (XIX) with Tbdms-OTf and DIEA in dichloromethane yields the bis silylated compound (XX), which is finally oxidized with DMP in dichloromethane to furnish the target undecenoic ester intermediate (XXI).

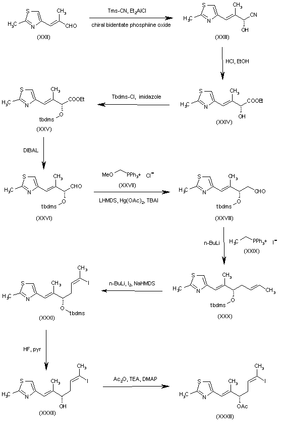
合成路线图解说明:

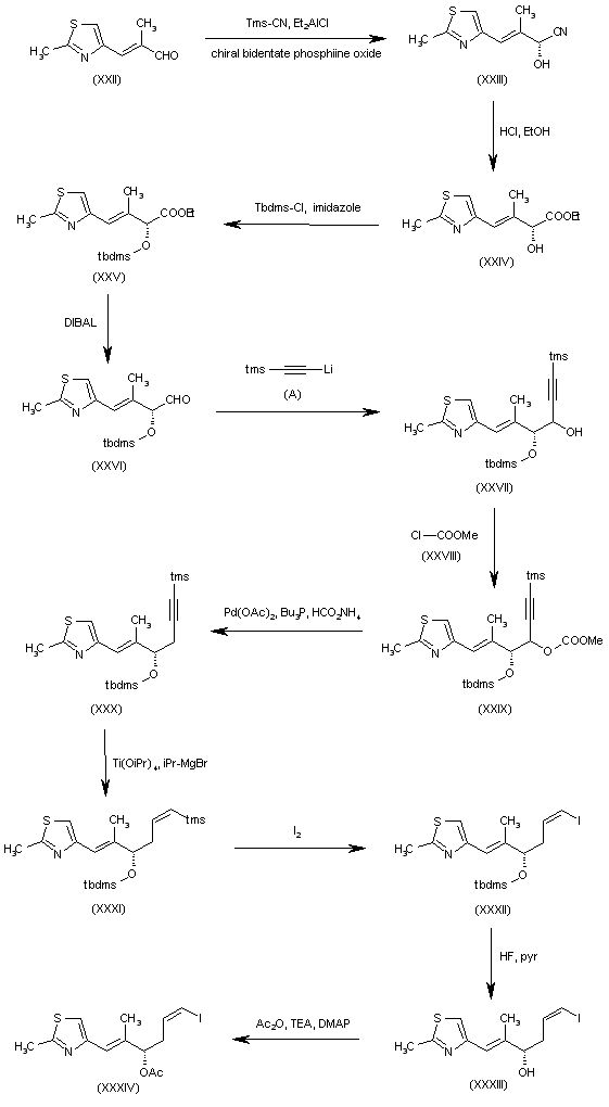
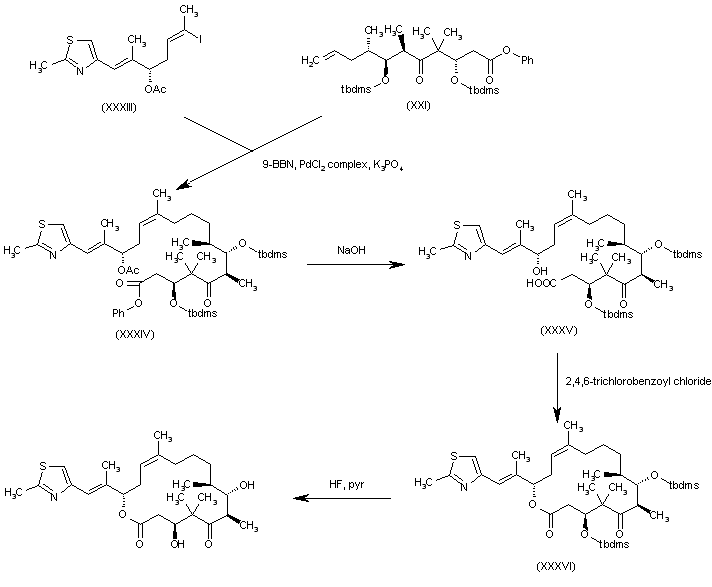
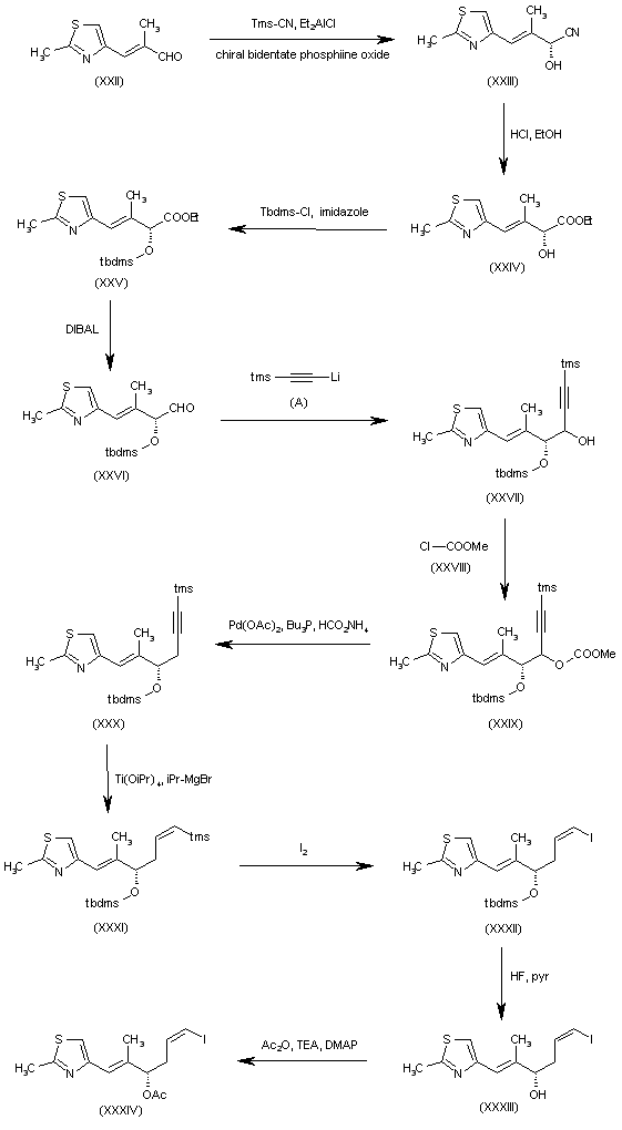
Synthesis of the thiazole intermediate (XXXIV): The reaction of 2-methyl-3-(2-methylthiazol-4-yl)-2(E)-propenal (XXII) with trimethylsilyl cyanide and Et2AlCl catalyzed by a chiral bidentate phosphine oxide catalyst gives the chiral alpha-hydroxybutenenitrile (XXIII), which is hydrolyzed to the corresponding carboxylic ester (XXIV) by means of HCl in hot ethanol/water. The reaction of (XXIV) with Tbdms-Cl and imidazole yields the silylated hydroxyester (XXV), which is reduced with DIBAL in toluene, affording the aldehyde (XXVI). The reaction of (XXVI) with lithium trimethylsilylacetylide (A) in THF provides the adduct (XXVII), which is esterified with methyl chloroformate (XXVIII), furnishing the carbonate (XXIX). The reduction of (XXIX) by means of Pd(OAc)2, Bu3P and ammonium formate gives the protected acetylenic compound (XXX). The selective reduction of the triple bond of (XXX) by means of Ti(OiPr)4 and iPr-MgBr in ethyl ether yields the cis-silylated vinyl compound (XXXI), which is iodinated with I2 in dichloromethane to afford the cis-iodovinyl compound (XXXII). The desilylation of (XXXII) with HF and pyridine in THF gives the secondary alcohol (XXXIII), which is finally acetylated with Ac2O, TEA and DMAP in CH2Cl2 to yield the target thiazole intermediate (XXXIV).

合成路线图解说明:

Assembly of the target compound: The condensation of intermediates (XXI) and (XXXIV) by means of 9-BBN, a PdCl2 catalyst and K3PO4 in hot DMF/water gives the adduct (XXXV), which is hydrolyzed with NaOH in methanol/water to yield the hydroxyacid (XXXVI). The macrolactonization of (XXXVI) by the Yamaguchi procedure using 2,4,6-trichlorobenzoyl chloride, TEA and DMAP in THF affords the macrolactone (XXXVII), which is desilylated with HF and pyridine in THF, furnishing the dihydroxylactone (XXXVIII). Finally, this compound is epoxidated by means of dimethyldioxirane (XXXIX) in dichloromethane.

合成路线图解说明:

The reaction of 2,2-dimethylpropane-1,3-diol (I) with benzaldehyde, Ts-OH and DIBAL gives the monobenzyl ether (II), which is oxidized with SO3/pyridine in dichloromethane, yielding the propionaldehyde (III). The condensation of (III) with butanone (IV) by means of LDA and TFAA affords the heptenone (V), which is epoxidated with H2O2 and NaOH in aq. methanol to provide the racemic epoxide (rac)-(VI). The reaction of ketone (VI) with O-methylhydroxylamine and NaOAc in methanol gives the corresponding oxime (rac)-(VII), which is treated with CuCN and MeLi in ethyl ether to yield the beta-hydroxy oxime (rac)-(VIII). The treatment of (VIII) with H2 and Raney-Ni in acetone/THF affords the corresponding beta-hydroxy ketone (rac)-(IX), which is allylated with allyl bromide (X) and LHMDS in the presence of 1,3-dimethylperhydropyrimidin-2-one to give the beta-hydroxynonen-5-one (rac)-(XI). The reduction of (XI) with Me4NBH(OAc)3 and HOAc in acetonitrile yields the diol (rac)-(XII), which is protected with 2-methoxypropene (XIII) and Ts-OH, affording the 1,3-dioxane (rac)-(XIV). The reaction of (XIV) with Li in liquid ammonia, tert-butanol and THF provides the debenzylated primary alcohol (rac)-(XV), which is oxidized with tetrapropylammonium perrhuthenate in dichloromethane, giving the corresponding aldehyde (rac)-(XVI).

合成路线图解说明:

The asymmetric catalytic aldol reaction of aldehyde (XVI) with acetophenone by means of a chiral lanthane catalyst yields a diastereomeric mixture of hydroxyketones from which the desired isomer (XVII) is isolated. The Baeyer-Villiger oxidation of (XVII) with trimethylsilyl peroxide and SnCl4 affords the phenyl ester (XVIII), which is deprotected with BCl3 in dichloromethane, giving the trihydroxyester (XIX). The selective protection of (XIX) with Tbdms-OTf and DIEA in dichloromethane yields the bis-silylated compound (XX), which is finally oxidized with DMP in dichloromethane to furnish the target undecenoic ester intermediate (XXI)

合成路线图解说明:

Synthesis of the thiazole intermediate (XXXIII): The reaction of 2-methyl-3-(2-methylthiazol-4-yl)-2(E)-propenal (XXII) with trimethylsilyl cyanide and Et2AlCl catalyzed by a chiral bidentate phosphine oxide catalyst gives the chiral alpha-hydroxybutenenitrile (XXIII), which is hydrolyzed to the corresponding carboxylic ester (XXIV) by means of HCl in hot ethanol/water. The reaction of (XXIV) with Tbdms-Cl and imidazole yields the silylated hydroxyester (XXV), which is reduced with DIBAL in toluene, affording the aldehyde (XXVI). The reaction of (XXVI) with phosphonium salt (XXVII), LHMDS, Hg(OAc)2 and tetrabutylammonium iodine (TBAI) in THF provides the olefin (XXX), which is iodinated with I2 and NaHMDS in THF to give the iodinated olefin (XXXI). The desilylation of (XXXI) with HF and pyridine in THF yields the secondary alcohol (XXXII), which is acylated with Ac2O, TEA and DMAP in dichloromethane to afford the target thiazole intermediate (XXXIII).

合成路线图解说明:

Assembly of the target compound: The condensation of intermediates (XXI) and (XXXIII) by means of 9-BBN, a PdCl2 catalyst and K3PO4 in hot DMF/water gives the adduct (XXXIV), which is hydrolyzed with NaOH in methanol/water to yield the hydroxyacid (XXXV). The macrolactonization of (XXXV) by the Yamaguchi procedure using 2,4,6-trichlorobenzoyl chloride, TEA and DMAP in THF affords the macrolactone (XXXVI), which is desilylated with HF and pyridine in THF, furnishing the dihydroxylactone (XXXVII). Finally, this compound is epoxidated by means of dimethyldioxirane (XXXVIII) in dichloromethane to give the target epothilone B.

合成路线图解说明:

The reaction of 2,2-dimethylpropane-1,3-diol (I) with benzaldehyde, Ts-OH and DIBAL gives the monobenzyl ether (II), which is oxidized with SO3/pyridine in dichloromethane, yielding the propionaldehyde (III). The condensation of (III) with butanone (IV) by means of LDA and TFAA affords the heptenone (V), which is epoxidated with H2O2 and NaOH in aq. methanol to provide the racemic epoxide (rac)-(VI). The reaction of ketone (VI) with O-methylhydroxylamine and NaOAc in methanol gives the corresponding oxime (rac)-(VII), which is treated with CuCN and MeLi in ethyl ether to yield the beta-hydroxy oxime (rac)-(VIII). The treatment of (VIII) with H2 and Raney-Ni in acetone/THF affords the corresponding beta-hydroxy ketone (rac)-(IX), which is allylated with allyl bromide (X) and LHMDS in the presence of 1,3-dimethylperhydropyrimidin-2-one to give the beta-hydroxynonen-5-one (rac)-(XI). The reduction of (XI) with Me4NBH(OAc)3 and HOAc in acetonitrile yields the diol (rac)-(XII), which is protected with 2-methoxypropene (XIII) and Ts-OH, affording the 1,3-dioxane (rac)-(XIV). The reaction of (XIV) with Li in liquid ammonia, tert-butanol and THF provides the debenzylated primary alcohol (rac)-(XV), which is oxidized with tetrapropylammonium perrhuthenate in dichloromethane, giving the corresponding aldehyde (rac)-(XVI).

合成路线图解说明:

The asymmetric catalytic aldol reaction of aldehyde (XVI) with acetophenone by means of a chiral lanthane catalyst yields a diastereomeric mixture of hydroxyketones from which the desired isomer (XVII) is isolated. The Baeyer-Villiger oxidation of (XVII) with trimethylsilyl peroxide and SnCl4 affords the phenyl ester (XVIII), which is deprotected with BCl3 in dichloromethane, giving the trihydroxyester (XIX). The selective protection of (XIX) with Tbdms-OTf and DIEA in dichloromethane yields the bis-silylated compound (XX), which is finally oxidized with DMP in dichloromethane to furnish the target undecenoic ester intermediate (XXI).

合成路线图解说明:

Synthesis of the thiazole intermediate (XXXIII): The reaction of 2-methyl-3-(2-methylthiazol-4-yl)-2(E)-propenal (XXII) with trimethylsilyl cyanide and Et2AlCl catalyzed by a chiral bidentate phosphine oxide catalyst gives the chiral alpha-hydroxybutenenitrile (XXIII), which is hydrolyzed to the corresponding carboxylic ester (XXIV) by means of HCl in hot ethanol/water. The reaction of (XXIV) with Tbdms-Cl and imidazole yields the silylated hydroxyester (XXV), which is reduced with DIBAL in toluene, affording the aldehyde (XXVI). The reaction of (XXVI) with phosphonium salt (XXVII), LHMDS, Hg(OAc)2 and tetrabutylammonium iodine (TBAI) in THF provides the olefin (XXX), which is iodinated with I2 and NaHMDS in THF to give the iodinated olefin (XXXI). The desilylation of (XXXI) with HF and pyridine in THF yields the secondary alcohol (XXXII), which is acylated with Ac2O, TEA and DMAP in dichloromethane to afford the target thiazole intermediate (XXXIII).

合成路线图解说明:

Assembly of the target compound : The condensation of intermediates (XXI) and (XXXIII) by means of 9-BBN, a PdCl2 catalyst and K3PO4 in hot DMF/water gives the adduct (XXXIV), which is hydrolyzed with NaOH in methanol/water to yield the hydroxyacid (XXXV). The macrolactonization of (XXXV) by the Yamaguchi procedure using 2,4,6-trichlorobenzoyl chloride, TEA and DMAP in THF affords the macrolactone (XXXVI), which is finally desilylated with HF and pyridine in THF, furnishing the target epothilone D.

合成路线图解说明:

Synthesis of undecenoic ester intermediate (XXI): The reaction of 2,2-dimethylpropane-1,3-diol (I) with benzaldehyde, Ts-OH and DIBAL gives the monobenzyl ether (II), which is oxidized with SO3/pyridine in dichloromethane, yielding the propionaldehyde (III). The condensation of (III) with butanone (IV) by means of LDA and TFAA affords the heptenone (V), which is epoxidated with H2O2 and NaOH in aq. methanol to provide the racemic epoxide (rac)-(VI). The reaction of ketone (VI) with O-methylhydroxylamine and NaOAc in methanol gives the corresponding oxime (rac)-(VII), which is treated with CuCN and Me-Li in ethyl ether to yield the beta-hydroxy oxime (rac)-(VIII). The treatment of (VIII) with H2 and RaNi in acetone/THF affords the corresponding beta-hydroxy ketone (rac)-(IX), which is allylated with allyl bromide (X) and LHMDS in the presence of 1,3-dimethylperhydropyrimidin-2-one to give the beta-hydroxynonen-5-one (rac)-(XI). The reduction of (XI) with Me4NBH(OAc)3 and HOAc in acetonitrile yields the diol (rac)-(XII), which is protected with 2-methoxypropene (XIII) and Ts-OH, affording the 1,3-dioxane (rac)-(XIV). The reaction of (XIV) with Li in liquid ammonia, tert-butanol and THF provides the debenzylated primary alcohol (rac)-(XV), which is oxidized with tetrapropylammonium perrhuthenate in dichloromethane, giving the corresponding aldehyde (rac)-(XVI).

合成路线图解说明:

The asymmetric catalytic aldol reaction of aldehyde (XVI) with acetophenone by means of a chiral lanthane catalyst yields a diastereomeric mixture of hydroxyketones from which the desired isomer (XVII) is isolated. The Baeyer-Villiger oxidation of (XVII) with trimethylsilyl peroxide and SnCl4 affords the phenyl ester (XVIII), which is deprotected with BCl3 in dichloromethane, giving the trihydroxyester (XIX). The selective protection of (XIX) with Tbdms-OTf and DIEA in dichloromethane yields the bis-silylated compound (XX), which is finally oxidized with DMP in dichloromethane to furnish the target undecenoic ester intermediate (XXI).

合成路线图解说明:

Synthesis of the thiazole intermediate (XXXIV): The reaction of 2-methyl-3-(2-methylthiazol-4-yl)-2(E)-propenal (XXII) with trimethylsilyl cyanide and Et2AlCl catalyzed by a chiral bidentate phosphine oxide catalyst gives the chiral alpha-hydroxybutenenitrile (XXIII), which is hydrolyzed to the corresponding carboxylic ester (XXIV) by means of HCl in hot ethanol/water. The reaction of (XXIV) with Tbdms-Cl and imidazole yields the silylated hydroxyester (XXV), which is reduced with DIBAL in toluene, affording the aldehyde (XXVI). The reaction of (XXVI) with lithium trimethylsilylacetylide (A) in THF provides the adduct (XXVII), which is esterified with methyl chloroformate (XXVIII), furnishing the carbonate (XXIX). The reduction of (XXIX) by means of Pd(OAc)2, Bu3P and ammonium formate gives the protected acetylenic compound (XXX). The selective reduction of the triple bond of (XXX) by means of Ti(OiPr)4 and iPr-MgBr in ethyl ether yields the cis-silylated vinyl compound (XXXI), which is iodinated with I2 in dichloromethane to afford the cis-iodovinyl compound (XXXII). The desilylation of (XXXII) with FH and pyridine in THF gives the secondary alcohol (XXXIII), which is finally acetylated with Ac2O, TEA and DMAP in dichloromethane to yield the target thiazole intermediate (XXXIV).

合成路线图解说明:

Assembly of the target compound: The condensation of intermediates (XXI) and (XXXIV) by means of 9-BBN, a PdCl2 catalyst and K3PO4 in hot DMF/water gives the adduct (XXXV), which is hydrolyzed with NaOH in methanol/water to yield the hydroxyacid (XXXVI). The macrolactonization of (XXXVI) by the Yamaguchi procedure using 2,4,6-trichlorobenzoyl chloride, TEA and DMAP in THF affords the macrolactone (XXXVII), which is finally desilylated with HF and pyridine in THF to provide the target epothilone C.

参考文献No.610986
标题:The olefin metathesis approach to epothilone A and its analogues
作者:Nicolaou, K.C.; et al.
来源:J Am Chem Soc 1997,119(34),7960
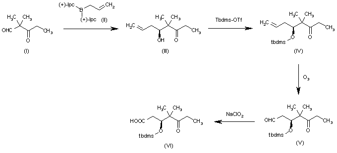
合成路线图解说明:

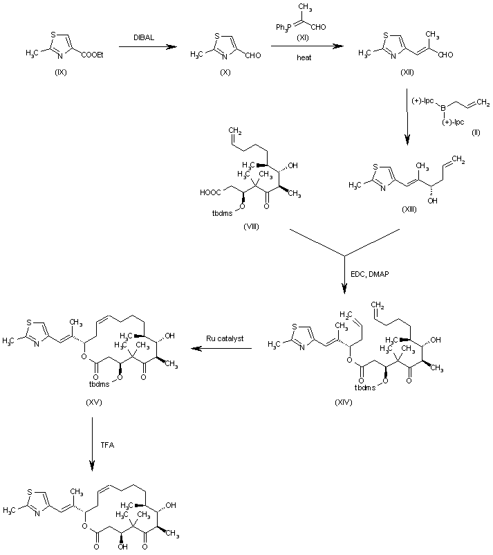
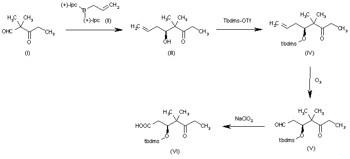
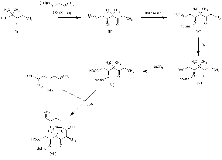
The synthesis of intermediate tridecenoic acid (VIII) has been performed as follows: The reaction of 2,2-dimethyl-3-oxopentanal (I) with (+)-diisopinocampheyl(allyl)borane (II) in ethyl ether gives the chiral beta-hydroxy ketone (III), which is protected with Tbdms-OTf, yielding the silyl ether (IV). The ozonolysis of the double bond of (IV) affords the aldehyde (V), which is oxidized with NaClO2 to the carboxylic acid (VI). Finally, this compound is condensed with 2(S)-methyl-6-heptenal (VII) by means of LDA in THF to provide the intermediate tridecenoic acid (VIII).

合成路线图解说明:

The reduction of 2-methylthiazole-4-carboxylic acid ethyl ester (IX) with DIBAL in dichloromethane gives the corresponding aldehyde (X), which is condensed with the phosphorane (XI) in refluxing benzene to yield 2-methyl-3-(2-methylthiazol-4-yl)-2-propenal (XII). The alkylation of (XII) with (+)-diisopinocampheyl(allyl)borane (II) in ethyl ether affords the chiral secondary alcohol (XIII) (1), which is esterified with the intermediate tridecenoic acid (VIII) by means of EDC and DMAP in dichloromethane to provide the ester (XIV). Ring-closing metathesis of (XIV) catalyzed by a Ru catalyst gives the macrolactone (XV), which is desilylated by means of TFA in dichloromethane, yielding the dihydroxymacrolactone (XVI). Finally, the double bond of (XVI) is epoxidized by means of dimethyldioxirane (DMDO) or MCPBA in chloroform.

合成路线图解说明:

The reaction of 2,2-dimethyl-3-oxopentanal (XXXI) with (+)-diisopinocampheyl(allyl)borane (XXXII) in ethyl ether gives the chiral beta-hydroxy ketone (XXXIII), which is protected with Tbdms-OTf to yield the silyl ether (XXXIV). The ozonolysis of the double bond of (XXXIV) affords the aldehyde (XXXV), which is oxidized with NaClO2 to the carboxylic acid (XXXVI). Finally, this compound is condensed with 2(S)-methyl-6-heptenal (VII) by means of LDA in THF to provide the intermediate tridecenoic acid (XII).

合成路线图解说明:

The synthesis of intermediate tridecenoic acid (VIII) has been performed as follows: The reaction of 2,2-dimethyl-3-oxopentanal (I) with (+)-diisopinocampheyl(allyl)borane (II) in ethyl ether gives the chiral beta-hydroxy ketone (III), which is protected with Tbdms-OTf, yielding the silyl ether (IV). The ozonolysis of the double bond of (IV) affords the aldehyde (V), which is oxidized with NaClO2 to the carboxylic acid (VI). Finally, this compound is condensed with 2(S)-methyl-6-heptenal (VII) by means of LDA in THF to provide the intermediate tridecenoic acid (VIII).

合成路线图解说明:

The reduction of 2-methylthiazole-4-carboxylic acid ethyl ester (IX) with DIBAL in dichloromethane gives the corresponding aldehyde (X), which is condensed with the phosphorane (XI) in refluxing benzene to yield 2-methyl-3-(2-methylthiazol-4-yl)-2-propenal (XII). The alkylation of (XII) with (+)-diisopinocampheyl(allyl)borane (II) in ethyl ether affords the chiral secondary alcohol (XIII) (1), which is esterified with the intermediate tridecenoic acid (VIII) by means of EDC and DMAP in dichloromethane to provide the ester (XIV). Ring-closing metathesis of (XIV) catalyzed by a Ru catalyst gives the macrolactone (XV), which is finally desilylated by means of TFA in dichloromethane, yielding the target epothilone C.

参考文献No.613604
标题:Total syntheses of epothilones A and B via a macrolactonization-based strategy
作者:Nicolaou, K.C.; et al.
来源:J Am Chem Soc 1997,119(34),7974
合成路线图解说明:

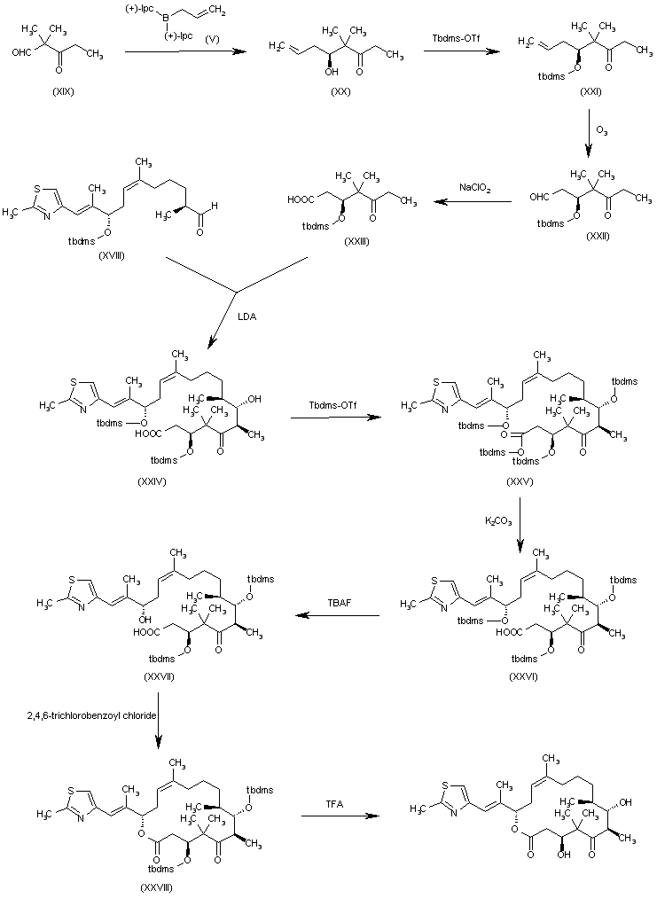
The synthesis of intermediate tridecenoic acid (VIII) has been performed as follows: The reaction of 2,2-dimethyl-3-oxopentanal (I) with (+)-diisopinocampheyl(allyl)borane (II) in ethyl ether gives the chiral beta-hydroxy ketone (III), which is protected with Tbdms-OTf, yielding the silyl ether (IV). The ozonolysis of the double bond of (IV) affords the aldehyde (V), which is oxidized with NaClO2 to the carboxylic acid (VI). Finally, this compound is condensed with 2(S)-methyl-6-heptenal (VII) by means of LDA in THF to provide the intermediate tridecenoic acid (VIII).

合成路线图解说明:

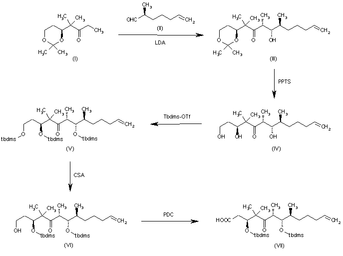
The oxoacid intermediate (VI) has been obtained as follows: The condensation of 2,2-dimethyl-3-oxopentanal (I) with (+)-diisopinocampheyl(allyl)borane (II) gives the chiral 5(S)-hydroxy-4,4-dimethyl-7-octen-3-one (III), which is protected with Tbdms-OTf, yielding the silyl ether (IV). The ozonolysis of (IV) in dichloromethane affords the aldehyde (V), which is finally oxidized with NaClO2 in tert-butanol/water to provide the target oxoacid intermediate (VI).

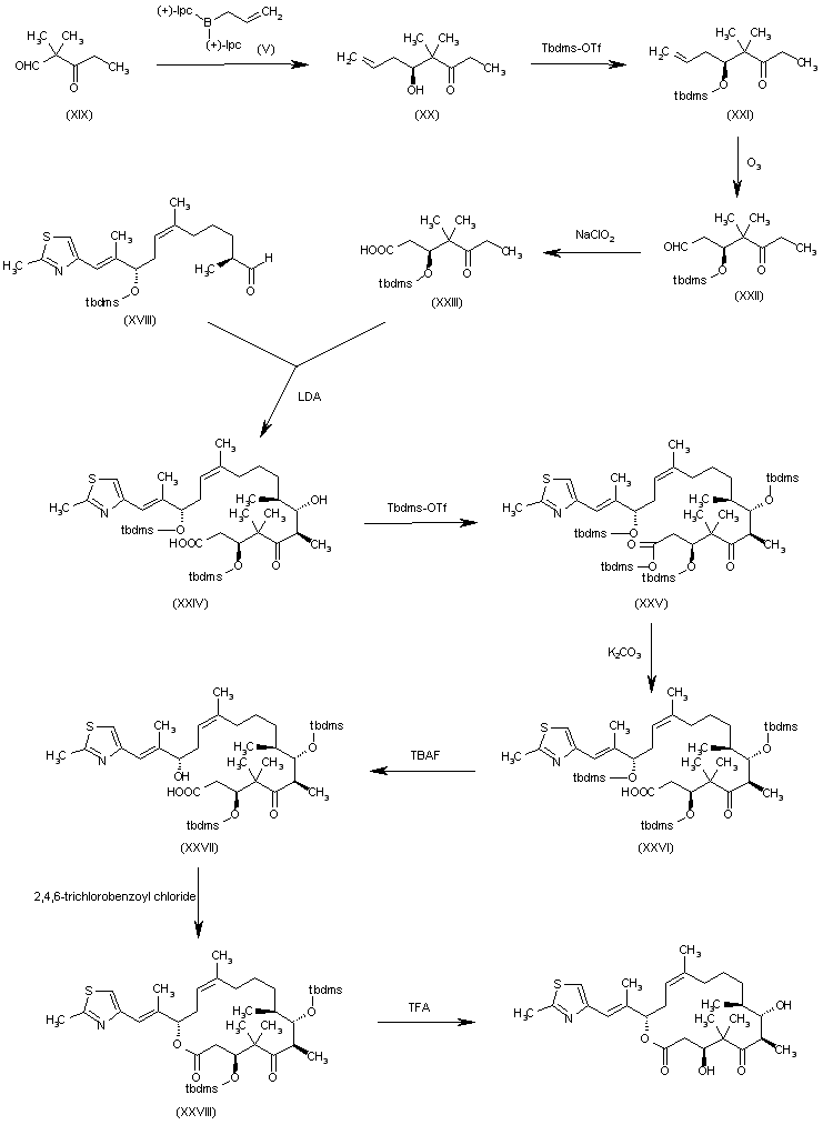
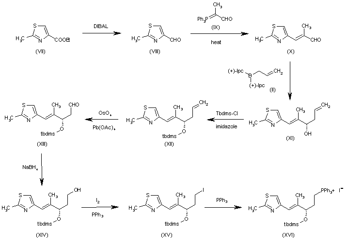
合成路线图解说明:

The intermediate phosphonium salt (XVI) has been obtained as follows: The reduction of 2-methylthiazole-4-carboxylic acid ethyl ester (VII) with DIBAL in dichloromethane gives the corresponding aldehyde (VIII), which is condensed with the phosphorane (IX) in refluxing benzene to yield 2-methyl-3-(2-methylthiazol-4-yl)-2(E)-propenal (X). The allylation of (X) with (+)-diisopinocampheyl(allyl)borane (II) affords the chiral secondary alcohol (XI), which is protected with Tbdms-Cl and imidazole in DMF, providing the silyl ether (XII). The oxidation of the terminal double bond of (XII) with OsO4 and Pb(OAc)4 in THF/tert-butanol/water gives rise to the aldehyde (XIII), which is reduced with NaBH4 in methanol to give the corresponding primary alcohol (XIV). The reaction of (XIV) with I2, PPh3 and imidazole in ethyl ether/acetonitrile yields the expected iodo derivative (XV), which is finally condensed with PPh3 at 100 C to afford the desired intermediate phosphonium salt (XVI).

合成路线图解说明:

Assembly of the final product: The condensation of SAMP hydrazone (XVII) with 4-(benzyloxy)butyl iodide (XVIII) by means of LDA in THF gives the chiral 2-methylhexanal hydrazone (XIX), which is ozonolyzed in dichloromethane, yielding the free aldehyde (XX). The reduction of (XX) with NaBH4 in methanol affords the corresponding alcohol (XXI), which is protected with Tbdms-Cl and TEA in dichloromethane, providing the silyl ether (XXII). The hydrogenolysis of (XXII) with H2 over Pd/C in THF furnishes the alcohol (XXIII), which is oxidized to the aldehyde (XXIV) with oxalyl chloride, DMSO and TEA in dichloromethane. The condensation of aldehyde (XXIV) with the intermediate phosphonium salt (XVI) by means of NaHMDS in THF gives the silylated diol (XXV), which is selectively monodesilylated with CSA in dichloromethane/methanol to yield the primary alcohol (XXVI). The oxidation of (XXVI) with SO3/pyridine, DMSO and TEA in dichloromethane affords the corresponding aldehyde (XXVII), which is condensed with the oxoacid intermediate (VI) by means of LDA in THF to provide the linear heptadecadienoic acid (XXVIII) as a diastereomeric mixture.

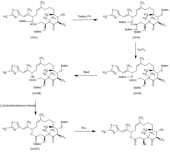
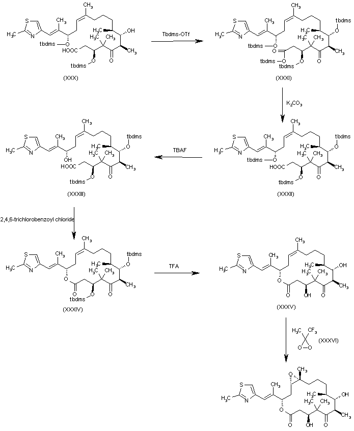
合成路线图解说明:

Intermediate (XXVIII) separated at the carboxylic acid (XXX) step. The full silylation of (XXVIII) with Tbdms-OTf and lutidine in dichloromethane gives the tetrasilyloxy compound (XXIX), which is stepwise desilylated first with K2CO3 in methanol to yield the carboxylic acid (XXX), and then with TBAF in THF to afford the hydroxyacid (XXXI). The macrolactonization of (XXXI) was carried out with the Yamaguchi method using 2,4,6-trichlorobenzoyl chloride, TEA and DMAP in THF to yield the silylated macrolactone (XXXII), which is deprotected with TFA in dichloromethane to afford the dihydroxymacrolactone (XXXIII). Finally, the double bond of (XXXIII) is epoxidated with methyl(trifluoromethyl)dioxirane (A) in acetonitrile.

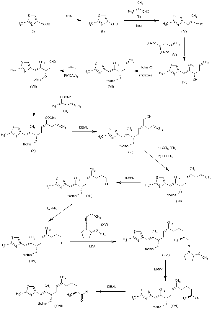
合成路线图解说明:

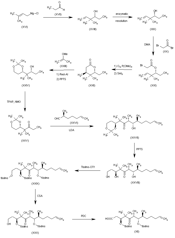
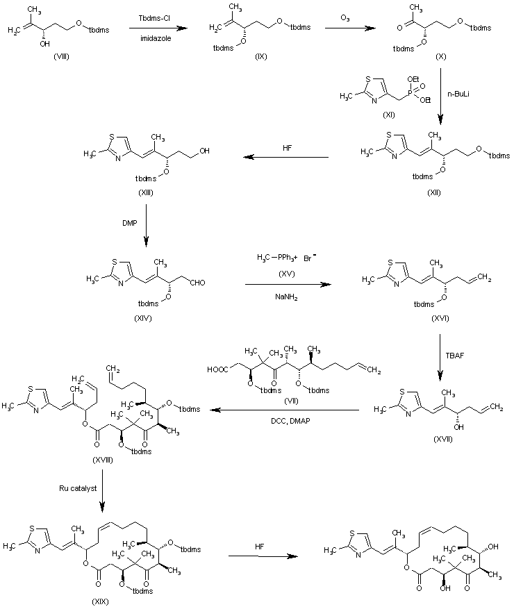
The synthesis of the intermediate chiral aldehyde (XVIII) has been obtained as follows: The reduction of 2-methylthiazole-4-carboxylic acid methyl ester (I) with DIBAL in dichloromethane gives the aldehyde (II), which by condensation with phosphorane (III) in refluxing benzene yields the unsaturated aldehyde (IV). The condensation of (IV) with the chiral borane (V) in ethyl ether affords the chiral unsaturated alcohol (VI), which is treated with Tbdms-Cl and imidazole to provide the sill ether (VII). The oxidation of the terminal double bond of (VIII) with OsO4 and Pb(OAc)4 in THF/tBuOH/water gives the aldehyde (VIII), which is condensed with the phosphorane (IX) in refluxing benzene to yield the carboxylic acid (X). The reduction of (X) with DIBAL in THF affords the carbinol (XI), which is reduced by reaction with CCl4 and PPh3, followed by a reductive dechlorination with LiBHEt3, to furnish the dimethylated olefin (XII). Hydroxylation of the terminal double bond of (XII) with 9-BBN in THF gives the primary alcohol (XIII), which is treated with I2 and PPh3 in ethyl ether/CH3CN to yield the iodo derivative (XIV). The condensation of (XIV) with the chiral 1-(propylideneamino)pyrrolidine (XV) by means of LDA in THF affords intermediate (XVI), which is converted into the nitrile (XVII) by reaction with monoperoxyphthalic acid magnesium salt (MMPP) in MeOH. Finally this compound is reduced with DIBAL in toluene to afford the target aldehyde intermediate (XVIII).

合成路线图解说明:

The condensation of 2,2-dimethyl-3-oxopentanal (XIX) with the chiral borane (V) in ethyl ether gives the chiral hydroxyketone (XX), which is treated with Tbdms-OTf and lutidine in dichloromethane to yield the silyl ether (XXI). Ozonolysis of the terminal double bond of (XXI) affords the aldehyde (XXII), which is oxidized to the carboxylic acid (XXIII) with NaClO2. The condensation of (XXIII) with the reported intermediate aldehyde (XVIII) by means of LDA in THF provides the hydroxyacid (XXIV), which is silylated with Tbdms-OTf and lutidine in dichloromethane to furnish the fully silylated compound (XXV). The hydrolysis of the silyl ester of (XXV) with K2CO3 in methanol gives the carboxylic acid (XXVI), which is selectively desilylated with TBAF in THF to yield the hydroxyacid (XXVII).The macrolactonization of (XXVII) by treatment with 2,4,6-trichlorobenzoyl chloride and TEA in THF, followed by a treatment with DMAP in toluene, affords the silylated macrolactone (XXVIII).

合成路线图解说明:

Compound (XXVIII) is deprotected with TFA in CH2Cl2 to provide the dihydroxymacrolactone (XXIX). Finally, this compound is epoxidated with methyl(trifluoromethyl)dioxirane (XXX) or MCPBA to furnish the target epothilone B.

合成路线图解说明:

The oxoacid intermediate (VI) has been obtained as follows: The condensation of 2,2-dimethyl-3-oxopentanal (I) with (+)-diisopinocampheyl(allyl)borane (II) gives the chiral 5(S)-hydroxy-4,4-dimethyl-7-octen-3-one (III), which is protected with Tbdms-OTf, yielding the silyl ether (IV). The ozonolysis of (IV) in dichloromethane affords the aldehyde (V), which is finally oxidized with NaClO2 in tert-butanol/water to provide the target oxoacid intermediate (VI).

合成路线图解说明:

The intermediate phosphonium salt (XVI) has been obtained as follows: The reduction of 2-methylthiazole-4-carboxylic acid ethyl ester (VII) with DIBAL in dichloromethane gives the corresponding aldehyde (VIII), which is condensed with the phosphorane (IX) in refluxing benzene to yield 2-methyl-3-(2-methylthiazol-4-yl)-2(E)-propenal (X). The allylation of (X) with (+)-diisopinocampheyl(allyl)borane (II) affords the chiral secondary alcohol (XI), which is protected with Tbdms-Cl and imidazole in DMF, providing the silyl ether (XII). The oxidation of the terminal double bond of (XII) with OsO4 and Pb(OAc)4 in THF/tert-butanol/water gives rise to the aldehyde (XIII), which is reduced with NaBH4 in methanol to give the corresponding primary alcohol (XIV). The reaction of (XIV) with I2, PPh3 and imidazole in ethyl ether/acetonitrile yields the expected iodo derivative (XV), which is finally condensed with PPh3 at 100 C to afford the desired intermediate phosphonium salt (XVI).

合成路线图解说明:

Assembly of the final product: The condensation of SAMP hydrazone (XVII) with 4-(benzyloxy)butyl iodide (XVIII) by means of LDA in THF gives the chiral 2-methylhexanal hydrazone (XIX), which is ozonolyzed in dichloromethane, yielding the free aldehyde (XX). The reduction of (XX) with NaBH4 in methanol affords the corresponding alcohol (XXI), which is protected with Tbdms-Cl and TEA in dichloromethane, providing the silyl ether (XXII). The hydrogenolysis of (XXII) with H2 over Pd/C in THF furnishes the alcohol (XXIII), which is oxidized to the aldehyde (XXIV) with oxalyl chloride, DMSO and TEA in dichloromethane. The methylation of aldehyde (XXIV) with Me-MgBr in THF gives the secondary alcohol (XXV), which is oxidized with tetrapropylammonium perruthenate (TPAP) in dichloromethane, yielding the methyl ketone (XXVI). The condensation of ketone (XXVI) with the intermediate phosphonium salt (XVI) by means of NaHMDS in THF gives the silylated diol (XXVII), which is selectively monodesilylated with CSA in dichloromethane/methanol to yield the primary alcohol (XXVIII). The oxidation of (XXVIII) with SO3/pyridine, DMSO and TEA in dichloromethane affords the corresponding aldehyde (XXIX), which is condensed with the oxoacid intermediate (VI) by means of LDA in THF to provide the linear heptadecadienoic acid (XXX) as a diastereomeric mixture that is separated at the carboxylic acid (XXXII) step.

合成路线图解说明:

The fully silylation of (XXX) with Tbdms-OTf and lutidine in dichloromethane gives the tetrasilyloxy compound (XXXI). The stepwise desilylation first with K2CO3 in methanol to yield the carboxylic acid (XXXII), and then with TBAF in THF, affords the hydroxyacid (XXXIII). The macrolactonization of (XXXIII) was carried out with the Yamaguchi method using 2,4,6-trichlorobenzoyl chloride, TEA and DMAP in THF to yield the silylated macrolactone (XXXIV), which is deprotected with TFA in dichloromethane to afford the dihydroxymacrolactone (XXXV). Finally, the double bond of (XXXV) is epoxidated with methyl(trifluoromethyl)dioxirane (XXXVI) in acetonitrile to provide the target epothilone B.

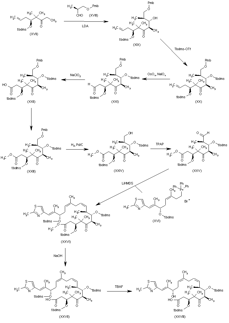
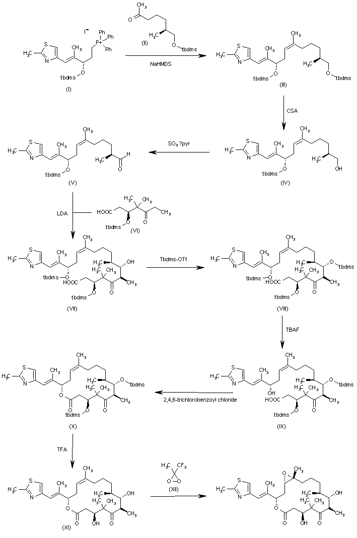
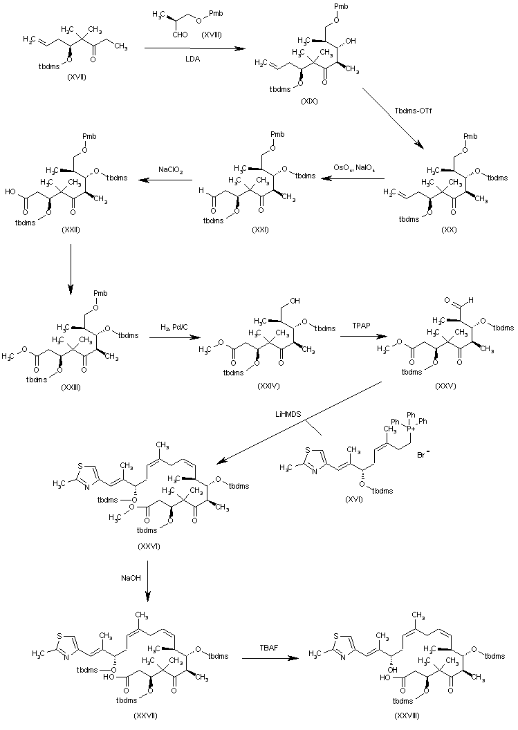
合成路线图解说明:

The condensation of the known ketone (XVII) with aldehyde (XVIII) by means of LDA in THF gives the hydroxyketone (XIX), which is silylated with Tbdms-OTf and TEA in dichloromethane, yielding the silyl ether (XX). The terminal vinyl group of (XX) is cleaved oxidatively by means of OsO4 and NaIO4 in THF/water, affording the aldehyde (XXI), which is oxidized to acid (XXII) by means of NaClO2 in t-butanol/water. Acid (XXII) is esterified to methyl ester (XXIII), which is selectively deprotected at the Pmb group by hydrogenation with H2 over Pd/C in ethanol to provide the primary alcohol (XXIV). The oxidation of (XXIV) with tetrapropylammonium perruthenate (TPAP) furnishes the aldehyde (XXV), which is submitted to a Wittig condensation with the intermediate phosphonium salt (XVI) by means of LiHMDS in THF to give the adduct (XXVI). The hydrolysis of the ester group of (XXVI) with NaOH in warm isopropanol yields the carboxylic acid (XXVII), which is selectively deprotected by means of TBAF in THF to afford the hydroxyacid (XXVIII).

合成路线图解说明:

Synthesis of intermediate ketone (XVIII): The reaction of 2,2-dimethyl-3-oxopentanal (XVI) with (+)-allyldi(isopinocampheyl)borane in ethyl ether gives the chiral beta-hydroxyketone (XVII), which is silylated with Tbdms-OTf and lutidine in dichloromethane to afford the desired intermediate ketone (XVIII).

合成路线图解说明:

The aldol condensation of 2,2-dimethyl-3-oxopentanal (I) with acetylsultam (II) by means of Et3B/OTf and DIEA gives the aldol adduct (III), which is treated with Tbdms-OTf to yield the silyl ether (IV). The TiCl4 catalyzed aldol reaction between ketone (IV) with the intermediate aldehyde (V) affords the aldol adduct (VI), which is treated with Tbdms-OTf to provide the silylated adduct (VII). Finally the cleavage of the sultam group of (VII) by means of LiO2H furnishes the already known carboxylic acid intermediate (VIII)

合成路线图解说明:

The synthesis of the intermediate chiral aldehyde (XVIII) has been obtained as follows: The reduction of 2-methylthiazole-4-carboxylic acid methyl ester (I) with DIBAL in dichloromethane gives the aldehyde (II), which by condensation with phosphorane (III) in refluxing benzene yields the unsaturated aldehyde (IV). The condensation of (IV) with the chiral borane (V) in ethyl ether affords the chiral unsaturated alcohol (VI), which is treated with Tbdms-Cl and imidazole to provide the sill ether (VII). The oxidation of the terminal double bond of (VIII) with OsO4 and Pb(OAc)4 in THF/tBuOH/water gives the aldehyde (VIII), which is condensed with the phosphorane (IX) in refluxing benzene to yield the carboxylic acid (X). The reduction of (X) with DIBAL in THF affords the carbinol (XI), which is reduced by reaction with CCl4 and PPh3, followed by a reductive dechlorination with LiBHEt3, to furnish the dimethylated olefin (XII). Hydroxylation of the terminal double bond of (XII) with 9-BBN in THF gives the primary alcohol (XIII), which is treated with I2 and PPh3 in ethyl ether/acetonitrile to yield the iodo derivative (XIV). The condensation of (XIV) with the chiral 1-(propylideneamino)pyrrolidine (XV) by means of LDA in THF affords intermediate (XVI), which is converted into the nitrile (XVII) by reaction with monoperoxyphthalic acid magnesium salt (MMPP) in methanol. Finally, this compound is reduced with DIBAL in toluene to afford the target aldehyde intermediate (XVIII).

合成路线图解说明:

The condensation of 2,2-dimethyl-3-oxopentanal (XIX) with the chiral borane (V) in ethyl ether gives the chiral hydroxyketone (XX), which is treated with Tbdms-OTf and lutidine in dichloromethane to yield the silyl ether (XXI). Ozonolysis of the terminal double bond of (XXI) affords the aldehyde (XXII), which is oxidized to the carboxylic acid (XXIII) with NaClO2. The condensation of (XXIII) with the reported intermediate aldehyde (XVIII) by means of LDA in THF provides the hydroxyacid (XXIV), which is silylated with Tbdms-OTf and lutidine in dichloromethane to furnish the fully silylated compound (XXV). The hydrolysis of the silyl ester of (XXV) with K2CO3 in methanol gives the carboxylic acid (XXVI), which is selectively desilylated with TBAF in THF to yield the hydroxyacid (XXVII).The macrolactonization of (XXVII) by treatment with 2,4,6-trichlorobenzoyl chloride and TEA in THF, followed by a treatment with DMAP in toluene, affords the silylated macrolactone (XXVIII), which is finally deprotected with TFA in dichloromethane to provide the target epothilone D.

合成路线图解说明:

The oxoacid intermediate (VI) has been obtained as follows: The condensation of 2,2-dimethyl-3-oxopentanal (I) with (+)-diisopinocampheyl(allyl)borane (II) gives the chiral 5(S)-hydroxy-4,4-dimethyl-7-octen-3-one (III), which is protected with Tbdms-OTf, yielding the silyl ether (IV). The ozonolysis of (IV) in dichloromethane affords the aldehyde (V), which is finally oxidized with NaClO2 in tert-butanol/water to provide the target oxoacid intermediate (VI).

合成路线图解说明:

The intermediate phosphonium salt (XVI) has been obtained as follows: The reduction of 2-methylthiazole-4-carboxylic acid ethyl ester (VII) with DIBAL in dichloromethane gives the corresponding aldehyde (VIII), which is condensed with the phosphorane (IX) in refluxing benzene to yield 2-methyl-3-(2-methylthiazol-4-yl)-2(E)-propenal (X). The allylation of (X) with (+)-diisopinocampheyl(allyl)borane (II) affords the chiral secondary alcohol (XI), which is protected with Tbdms-Cl and imidazole in DMF to provide the silyl ether (XII). The oxidation of the terminal double bond of (XII) with OsO4 and Pb(OAc)4 in THF/tert-butanol/water gives rise to the aldehyde (XIII), which is reduced with NaBH4 in methanol to give the corresponding primary alcohol (XIV). The reaction of (XIV) with I2, PPh3 and imidazole in ethyl ether/acetonitrile yields the expected iodo derivative (XV), which is finally condensed with PPh3 at 100 C to afford the desired intermediate phosphonium salt (XVI).

合成路线图解说明:

Assembly of the final product: The condensation of SAMP hydrazone (XVII) with 4-(benzyloxy)butyl iodide (XVIII) by means of LDA in THF gives the chiral 2-methylhexanal hydrazone (XIX), which is ozonolyzed in dichloromethane, yielding the free aldehyde (XX). The reduction of (XX) with NaBH4 in methanol affords the corresponding alcohol (XXI), which is protected with Tbdms-Cl and TEA in dichloromethane, providing the silyl ether (XXII). The hydrogenolysis of (XXII) with H2 over Pd/C in THF furnishes the alcohol (XXIII), which is oxidized to the aldehyde (XXIV) with oxalyl chloride, DMSO and TEA in dichloromethane. The condensation of aldehyde (XXIV) with the intermediate phosphonium salt (XVI) by means of NaHMDS in THF gives the silylated diol (XXV), which is selectively monodesilylated with CSA in dichloromethane/methanol to yield the primary alcohol (XXVI). The oxidation of (XXVI) with SO3/pyridine, DMSO and TEA in dichloromethane affords the corresponding aldehyde (XXVII), which is condensed with the oxoacid intermediate (VI) by means of LDA in THF to provide the linear heptadecadienoic acid (XXVIII) as a diastereomeric mixture that is separated at the carboxylic acid (XXX) step. The fully silylation of (XVIII) with Tbdms-OTf and lutidine in dichloromethane gives the tetrasilyloxy compound (XXIX), which is stepwise desilylated first with K2CO3 in methanol to yield the carboxylic acid (XXX).

合成路线图解说明:

Compound (XXX) is treated with TBAF in THF to afford the hydroxyacid (XXXI). The macrolactonization of (XXXI) was carried out with the Yamaguchi method using 2,4,6-trichlorobenzoyl chloride , TEA and DMAP in THF to yield the silylated macrolactone (XXXII), which is finally deprotected with TFA in dichloromethane to afford the target epothilone D.

合成路线图解说明:

The condensation of the known ketone (XVII) (2) with aldehyde (XVIII) by means of LDA in THF gives the hydroxyketone (XIX), which is silylated with Tbdms-OTf and TEA in dichloromethane, yielding the silyl ether (XX). The terminal vinyl group of (XX) is cleaved oxidatively by means of OsO4 and NaIO4 in THF/water, affording the aldehyde (XXI), which is oxidized to acid (XXII) by means of NaClO2 in t-butanol/water. Acid (XXII) is esterified to methyl ester (XXIII), which is selectively deprotected at the Pmb group by hydrogenation with H2 over Pd/C in ethanol to provide the primary alcohol (XXIV). The oxidation of (XXIV) with tetrapropylammonium perruthenate (TPAP) furnishes the aldehyde (XXV), which is submitted to a Wittig condensation with the intermediate phosphonium salt (XVI) by means of LiHMDS in THF to give the adduct (XXVI). The hydrolysis of the ester group of (XXVI) with NaOH in warm isopropanol yields the carboxylic acid (XXVII), which is selectively deprotected by means of TBAF in THF to afford the hydroxyacid (XXVIII).

合成路线图解说明:

The reaction of 2,2-dimethyl-3-oxopentanal (XXXI) with (+)-diisopinocampheyl(allyl)borane (XXXII) in ethyl ether gives the chiral beta-hydroxy ketone (XXXIII), which is protected with Tbdms-OTf to yield the silyl ether (XXXIV). The ozonolysis of the double bond of (XXXIV) affords the aldehyde (XXXV), which is oxidized with NaClO2 to the carboxylic acid (XXXVI). Finally, this compound is condensed with 2(S)-methyl-6-heptenal (VII) by means of LDA in THF to provide the intermediate tridecenoic acid (XII).

合成路线图解说明:

The reduction of 2-methylthiazole-4-carboxylic acid ethyl ester (I) with DIBAL in dichloromethane gives the corresponding carbaldehyde (II), which is condensed with phosphorane (III) in refluxing benzene to yield the propionaldehyde (IV). The diastereocontrolled condensation of (IV) with (+)-allyl-di(isopinocampheyl)borane (V) in ethyl ether affords the chiral homoallyl alcohol (VI), which is silylated with Tbdms-Cl and imidazole to provide the silyl ether (VII).The oxidation of the terminal double bond of (VII) by means of OsO4, NaIO4 and 4-methylmorpholine N-oxide gives the 4-pentenal derivative (VIII), which is condensed with the phosphorane (IX) in refluxing benzene to yield the methyl heptadienoate (X). The reduction of (X) with DIBAL in THF affords the carbinol (XI), which is protected with trityl chloride and DMAP to provide the trityl ether (XII). The Hydroxylation of the terminal double bond of (XII) with 8-BBN and H2O2 gives the primary alcohol (XIII), which is treated with I2 and PPh3 to yield the iodo compound (XIV). The condensation of (XIV) with the hydrazone (XV) by means of LDA affords the chiral undecadienylhydrazone (XVI), which is treated with monoperoxyphthalic magnesium salt (MMPP) to provide the undecadienenitrile (XVII). The reduction of (XVII) with DIBAL in toluene gives the corresponding aldehyde (XVIII).

合成路线图解说明:

The synthesis of intermediate tridecenoic acid (VIII) has been performed as follows: The reaction of 2,2-dimethyl-3-oxopentanal (I) with (+)-diisopinocampheyl(allyl)borane (II) in ethyl ether gives the chiral beta-hydroxy ketone (III), which is protected with Tbdms-OTf, yielding the silyl ether (IV). The ozonolysis of the double bond of (IV) affords the aldehyde (V), which is oxidized with NaClO2 to the carboxylic acid (VI). Finally, this compound is condensed with 2(S)-methyl-6-heptenal (VII) by means of LDA in THF to provide the intermediate tridecenoic acid (VIII).

合成路线图解说明:

The oxoacid intermediate (VI) has been obtained as follows: The condensation of 2,2-dimethyl-3-oxopentanal (I) with (+)-diisopinocampheyl(allyl)borane (II) gives the chiral 5(S)-hydroxy-4,4-dimethyl-7-octen-3-one (III), which is protected with Tbdms-OTf, yielding the silyl ether (IV). The ozonolysis of (IV) in dichloromethane affords the aldehyde (V), which is finally oxidized with NaClO2 in tert-butanol/water to provide the target oxoacid intermediate (VI).

合成路线图解说明:

The intermediate phosphonium salt (XVI) has been obtained as follows: The reduction of 2-methylthiazole-4-carboxylic acid ethyl ester (VII) with DIBAL in dichloromethane gives the corresponding aldehyde (VIII), which is condensed with the phosphorane (IX) in refluxing benzene to yield 2-methyl-3-(2-methylthiazol-4-yl)-2(E)-propenal (X). The allylation of (X) with (+)-diisopinocampheyl(allyl)borane (II) affords the chiral secondary alcohol (XI), which is protected with Tbdms-Cl and imidazole in DMF, providing the silyl ether (XII). The oxidation of the terminal double bond of (XII) with OsO4 and Pb(OAc)4 in THF/tert-butanol/water gives rise to the aldehyde (XIII), which is reduced with NaBH4 in methanol to give the corresponding primary alcohol (XIV). The reaction of (XIV) with I2, PPh3 and imidazole in ethyl ether/acetonitrile yields the expected iodo derivative (XV), which is finally condensed with PPh3 at 100 C to afford the desired intermediate phosphonium salt (XVI).

合成路线图解说明:

Assembly of the final product: The condensation of SAMP hydrazone (XVII) with 4-(benzyloxy)butyl iodide (XVIII) by means of LDA in THF gives the chiral 2-methylhexanal hydrazone (XIX), which is ozonolyzed in dichloromethane, yielding the free aldehyde (XX). The reduction of (XX) with NaBH4 in methanol affords the corresponding alcohol (XXI), which is protected with Tbdms-Cl and TEA in dichloromethane, providing the silyl ether (XXII). The hydrogenolysis of (XXII) with H2 over Pd/C in THF furnishes the alcohol (XXIII), which is oxidized to the aldehyde (XXIV) with oxalyl chloride, DMSO and TEA in dichloromethane. The condensation of aldehyde (XXIV) with the intermediate phosphonium salt (XVI) by means of NaHMDS in THF gives the silylated diol (XXV), which is selectively monodesilylated with CSA in dichloromethane/methanol to yield the primary alcohol (XXVI). The oxidation of (XXVI) with SO3/pyridine, DMSO and TEA in dichloromethane affords the corresponding aldehyde (XXVII), which is condensed with the oxoacid intermediate (VI) by means of LDA in THF to provide the linear heptadecadienoic acid (XXVIII) as a diastereomeric mixture.

合成路线图解说明:

Intermediate (XXVIII) separated at the carboxylic acid (XXX) step. The full silylation of (XVIII) with Tbdms-OTf and lutidine in dichloromethane gives the tetrasilyloxy compound (XXIX), which is stepwise desilylated first with K2CO3 in methanol to yield the carboxylic acid (XXX), and then with TBAF in THF to afford the hydroxyacid (XXXI). The macrolactonization of (XXXI) was carried out with the Yamaguchi method using 2,4,6-trichlorobenzoyl chloride, TEA and DMAP in THF to yield the silylated macrolactone (XXXII), which is deprotected with TFA in dichloromethane to afford the the target epothilone C.

参考文献No.613605
标题:Total syntheses of epothilones A and B
作者:Meng, D.; et al.
来源:J Am Chem Soc 1997,119(42),10073
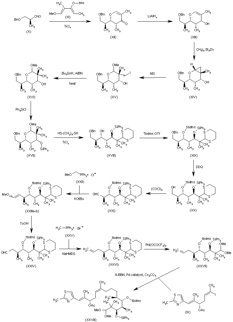
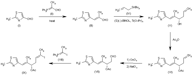
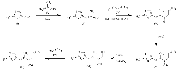
合成路线图解说明:

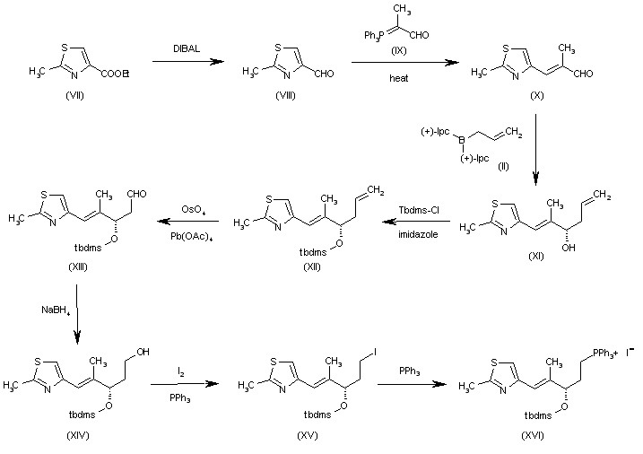
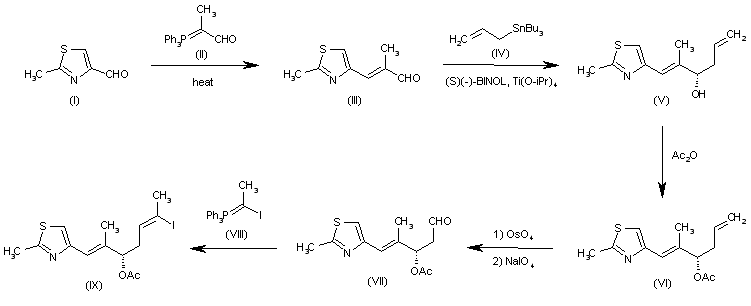
Synthesis of thiazole intermediate (IX): The reaction of 2-methylthiazole-4-carbaldehyde (I) with triphenylphosphorane (II) in refluxing benzene gives 2-methyl-3-(2-methyl-4-thiazolyl)-2-propenal (III), which is enantioselectively allylated with ally(tributyl)stannane (IV) catalyzed by (S)(-)-BINOL and Ti(O-iPr)4 in dichloromethane to yield the chiral homoallyl alcohol (V). The reaction of (V) with acetic anhydride TEA and DMAP in dichloromethane affords the acetate (VI), which is oxidized at its terminal double bond with OsO4 and NaIO4 to provide the aldehyde (VII). Finally, this compound is condensed with triphenylphosphorane (VIII) to give the desired thiazole intermediate (IX).

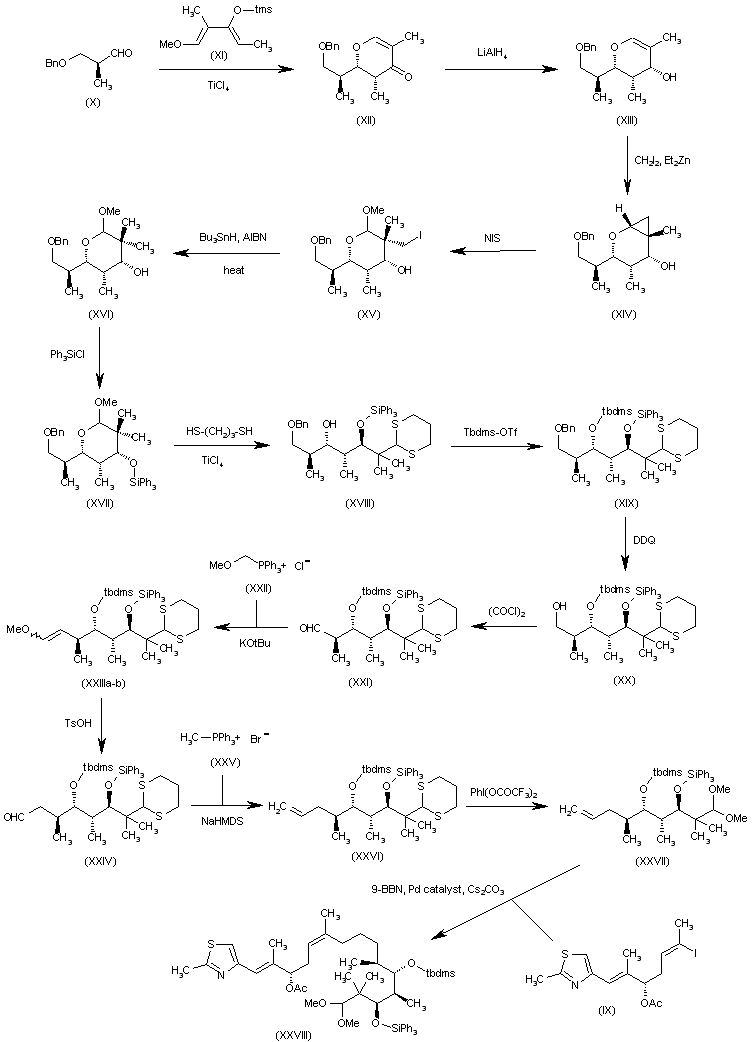
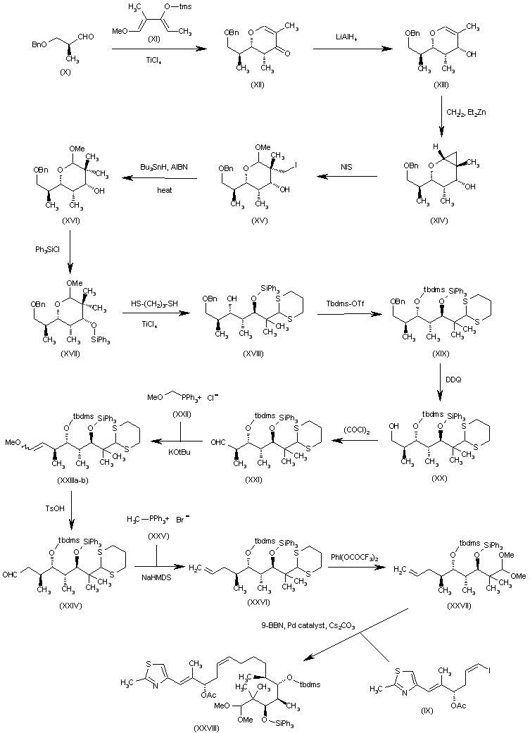
合成路线图解说明:

The cyclization of 3-(benzyloxy)-2(S)-methylpropenal (X) with the diene (XI) by means of TiCl4 in dichloromethane gives the dihydropyranone (XII), which is reduced with LiAlH4 in ethyl ether to yield the alcohol (XIII). The cyclopropanation of (XIII) by means of diiodomethane and Et2Zn in ethyl ether affords the cyclopropano derivative (XIV), which is cleaved by means of N-iodosuccinimide (NIS) in methanol, affording the iodomethyl derivative (XV). The dehalogenation of (XV) by means of Bu3SnH and AIBN in refluxing benzene provide the gem-dimethyltetrahydropyran (XVI), which is treated with triphenylchlorosilane and imidazole in DMF to give the silyl ether (XVII). Opening of the tetrahydropyran ring of (XVII) by means of propane-1,2-dithiol and TiCl4 in dichloromethane yields the 1,3-dithiolane derivative (XVIII), which is treated with Tbdms-OTf and lutidine to afford the disilylated compound (XIX). The debenzylation of (XIX) with DDQ in dichloromethane/water provides the primary alcohol (XX), which is oxidized with oxalyl chloride in DMSO/dichloromethane, furnishing the corresponding aldehyde (XXI). The condensation of (XXI) with the phosphonium salt (XXII) by means of KOtBu in THF gives the enol ether (XXIII), which is hydrolyzed to the corresponding aldehyde (XXIV) by means of TsOH in dioxane/water. The condensation of (XXIV) with phosphonium salt (XXV) by means of NaHMDS in toluene yields the terminal olefin (XXVI), which is treated with phenyliodonium trifluoroacetate in methanol/THF to afford the aldehyde dimethylacetal (XXVII). The condensation of (XXVII) with thiazole intermediate (IX) by means of 9-BBN, a Pd catalyst and Cs2CO3 in DMF/water gives the adduct (XXVIII).

合成路线图解说明:

Hydrolysis of the dimethylacetal group of (XXVIII) with Ts-OH in dioxane/water yields the corresponding aldehyde (XXIX), which is submitted to an intramolecular aldolization by means of KHMDS in THF to afford a mixture of diastereomeric macrolactones (XXX) and (XXXI). The undesired isomer (XXX) was recovered, oxidized with DMP to the ketone (XXXII) and reduced again with NaBH4 to provide high yields of the desired isomer (XXXI). Selective desilylation of (XXXI) with HF/pyridine in THF gives the diol (XXXIII), which is selectively monosilylated with Tbdms-OTf and lutidine in dichloromethane, yielding the bis-silylated triol (XXXIV). The oxidation of the free OH group of (XXXIV) with DMP in dichloromethane affords the corresponding ketonic derivative (XXXV), which is deprotected with HF/pyridine in THF, providing the free dihydroxy compound (XXXVI). Finally, this compound is epoxidized by means of dimethyldioxirane (DMDO) in dichloromethane.

合成路线图解说明:

Alternatively, the hydrolysis of the intermediate dimethylacetal (XXVII) with TsOH in dioxane/water gives the aldehyde (XXXVII), which is condensed with tert-butyl acetate (XXXVIII) by means of LDA in THF, yielding the hydroxyester (XXXIX). The desilylation of (XXXIX) with HF/pyridine in THF affords the trihydroxy compound (XL), which is selectively resilylated with Tbdms-OTf and lutidine, providing the bis-silylated compound (XLI). The oxidation of the free OH group of (XLI) with DMP in dichloromethane gives the ketonic compound (XLII), which is treated with Tbdms-OTf and lutidine in dichloromethane to furnish the silyl ester (XLIII). The condensation of (XLIII) with the thiazole intermediate (IX) as before gives the adduct (XLIV), which is hydrolyzed by means of K2CO3 in methanol/water, yielding the hydroxyacid (XLV). The intramolecular lactonization of (XLV) by means of 2,4,6-trichlorobenzoyl chloride, TEA and DMAP in toluene affords the previously reported macrolactone (XXXV), which is desilylated with HF/pyridine to (XXXVI) and finally epoxidated with DMDO in dichloromethane.

合成路线图解说明:

Synthesis of thiazole intermediate (IX): The reaction of 2-methylthiazole-4-carbaldehyde (I) with triphenylphosphorane (II) in refluxing benzene gives 2-methyl-3-(2-methyl-4-thiazolyl)-2-propenal (III), which is enantioselectively allylated with ally(tributyl)stannane (IV) and catalyzed by (S)-(-)-BINOL and Ti(O-iPr)4 in dichloromethane to yield the chiral homoallyl alcohol (V). The reaction of (V) with acetic anhydride TEA and DMAP in dichloromethane affords the acetate (VI), which is oxidized at its terminal double bond with OsO4 and NaIO4 to provide the aldehyde (VII). Finally, this compound is condensed with triphenylphosphorane (VIII) to gives the desired thiazole intermediate (IX).

合成路线图解说明:

The cyclization of 3-(benzyloxy)-2(S)-methylpropenal (X) with the diene (XI) by means of TiCl4 in dichloromethane gives the dihydropyranone (XII), which is reduced with LiAlH4 in ethyl ether to yield the alcohol (XIII). The cyclopropanation of (XIII) by means of diiodomethane and Et2Zn in ethyl ether affords the cyclopropano derivative (XIV), which is cleaved by means of N-iodosuccinimide (NIS) in methanol, affording the iodomethyl derivative (XV). The dehalogenation of (XV) by means of Bu3SnH and AIBN in refluxing benzene provide the gem-dimethyltetrahydropyran (XVI), which is treated with triphenylchlorosilane and imidazole in DMF to give the silyl ether (XVII). Opening of the tetrahydropyran ring of (XVII) by means of propane-1,2-dithiol and TiCl4 in dichloromethane yields the 1,3-dithiolane derivative (XVIII), which is treated with Tbdms-OTf and lutidine to afford the disilylated compound (XIX). The debenzylation of (XIX) with DDQ in dichloromethane/water provides the primary alcohol (XX), which is oxidized with oxalyl chloride in DMSO/dichloromethane to furnish the corresponding aldehyde (XXI). The condensation of (XXI) with the phosphonium salt (XXII) by means of tBu-OK in THF gives the enol ether (XXIII), which is hydrolyzed to the corresponding aldehyde (XXIV) by means of Ts-OH in dioxane/water. The condensation of (XXIV) with phosphonium salt (XXV) by means of NaHMDS in toluene yields the terminal olefin (XXVI), which is treated with phenyliodonium trifluoroacetate in methanol/THF to afford the aldehyde dimethylacetal (XXVII). The condensation of (XXVII) with thiazole intermediate (IX) by means of 9-BBN, a Pd catalyst and Cs2CO3 in DMF/water gives the adduct (XXVIII).

合成路线图解说明:

Hydrolysis of the dimethylacetal group of (XXVIII) with Ts-OH in dioxane/water yields the corresponding aldehyde (XXIX), which is submitted to an intramolecular aldolization by means of KHMDS in THF to afford a mixture of diastereomeric macrolactones (XXX) and (XXXI). The undesired isomer (XXX) was recovered, oxidized with DMP to the ketone (XXXII) and reduced again with NaBH4 to provide high yields of the desired isomer (XXXI). Selective desilylation of (XXXI) with HF/pyridine in THF gives the diol (XXXIII), which is selectively monosilylated with Tbdms-OTf and lutidine in dichloromethane, yielding the bis-silylated triol (XXXIV). The oxidation of the free OH group of (XXXIV) with DMP in dichloromethane affords the corresponding ketonic derivative (XXXV), which is deprotected with HF/pyridine in THF, providing the free dihydroxy compound (XXXVI). Finally, this compound is epoxidized by means of dimethyldioxirane (DMDO) in dichloromethane to afford the target epothilone B.

合成路线图解说明:

Synthesis of thiazole intermediate (IX): The reaction of 2-methylthiazole-4-carbaldehyde (I) with triphenylphosphorane (II) in refluxing benzene gives 2-methyl-3-(2-methyl-4-thiazolyl)-2-propenal (III), which is enantioselectively allylated with ally(tributyl)stannane (IV) catalyzed by (S)(-)-BINOL and Ti(O-iPr)4 in dichloromethane to yield the chiral homoallyl alcohol (V). The reaction of (V) with acetic anhydride TEA and DMAP in dichloromethane affords the acetate (VI), which is oxidized at its terminal double bond with OsO4 and NaIO4 to provide the aldehyde (VII). Finally, this compound is condensed with triphenylphosphorane (VIII) to gives the desired thiazole intermediate (IX)

合成路线图解说明:

The cyclization of 3-(benzyloxy)-2(S)-methylpropenal (X) with the diene (XI) by means of TiCl4 in dichloromethane gives the dihydropyranone (XII), which is reduced with LiAlH4 in ethyl ether to yield the alcohol (XIII). The cyclopropanation of (XIII) by means of diiodomethane and Et2Zn in ethyl ether affords the cyclopropano derivative (XIV), which is cleaved by means of N-iodosuccinimide (NIS) in methanol, affording the iodomethyl derivative (XV). The dehalogenation of (XV) by means of Bu3SnH and AIBN in refluxing benzene provides the gem-dimethyltetrahydropyran (XVI), which is treated with triphenylchlorosilane and imidazole in DMF to give the silyl ether (XVII). Opening of the tetrahydropyran ring of (XVII) by means of propane-1,2-dithiol and TiCl4 in dichloromethane yields the 1,3-dithiolane derivative (XVIII), which is treated with Tbdms-OTf and lutidine to afford the disilylated compound (XIX). The debenzylation of (XIX) with DDQ in dichloromethane/water provides the primary alcohol (XX), which is oxidized with oxalyl chloride in DMSO/dichloromethane, furnishing the corresponding aldehyde (XXI). The condensation of (XXI) with the phosphonium salt (XXII) by means of tBu-OK in THF gives the enol ether (XXIII), which is hydrolyzed to the corresponding aldehyde (XXIV) by means of Ts-OH in dioxane/water. The condensation of (XXIV) with phosphonium salt (XXV) by means of NaHMDS in toluene yields the terminal olefin (XXVI), which is treated with phenyliodonium trifluoroacetate in methanol/THF to afford the aldehyde dimethylacetal (XXVII). The condensation of (XXVII) with thiazole intermediate (IX) by means of 9-BBN, a Pd catalyst and Cs2CO3 in DMF/water gives the adduct (XXVIII).

合成路线图解说明:

Hydrolysis of the dimethylacetal group of (XXVIII) with Ts-OH in dioxane/water yields the corresponding aldehyde (XXIX), which is submitted to a intramolecular aldolization by means of KHMDS in THF to afford a mixture of diastereomeric macrolactones (XXX) and (XXXI). The undesired isomer (XXX) was recovered, oxidized with DMP to the ketone (XXXII) and reduced again with NaBH4 to provide high yields of the desired isomer (XXXI). Selective desilylation of (XXXI) with HF/pyridine in THF gives de diol (XXXIII), which is selectively monosilylated with Tbdms-OTf and lutidine in dichloromethane, yielding the bis-silylated triol (XXXIV). The oxidation of the free OH group of (XXXIV) with DMP in dichloromethane affords the corresponding ketonic derivative (XXXV), which is finally deprotected with HF/pyridine in THF, providing the target epothilone D.

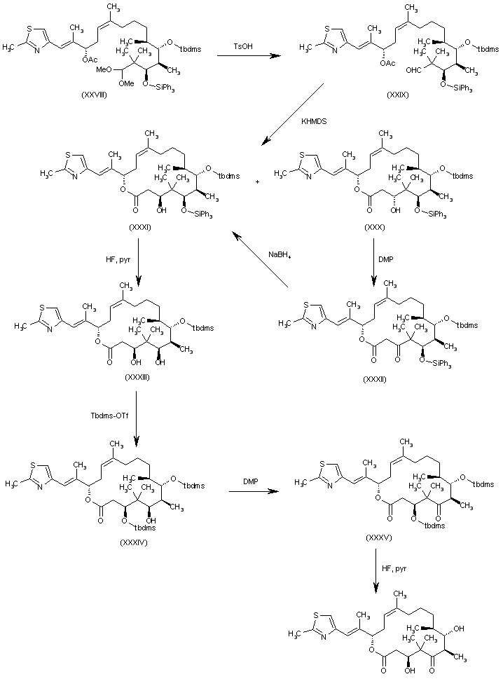
合成路线图解说明:

The condensation of the phosphonium salt (I) with the ketone (II) by means of NaHMDS in THF gives the diene (III), which is selectively monodeprotected with CSA in methanol/dichloromethane to yield the primary alcohol (IV). The oxidation of (IV) with SO3/pyridine affords the corresponding aldehyde (V), which is condensed with the ketoacid (VI) by means of LDA in THF to provide the heptadienoic acid (VII). The protection of the OH group of (VII) y means of Tbdms-OTf and lutidine in dichloromethane gives the fully silylated compound (VIII), which is selectively monodeprotected with TBAF in THF to yield the hydroxyacid (IX). The macrolactonization of (IX) by means of 2,4,6-trichlorobenzoyl chloride and TEA in THF affords the macrolactone (X), which is finally deprotected with TFA in dichloromethane to provide the target epothilone D.

合成路线图解说明:

Synthesis of thiazole intermediate (IX): The reaction of 2-methylthiazole-4-carbaldehyde (I) with triphenylphosphorane (II) in refluxing benzene gives 2-methyl-3-(2-methyl-4-thiazolyl)-2-propenal (III), which is enantioselectively allylated with ally(tributyl)stannane (IV) catalyzed by (S)(-)-BINOL and Ti(O-iPr)4 in dichloromethane to yield the chiral homoallyl alcohol (V). The reaction of (V) with acetic anhydride TEA and DMAP in dichloromethane affords the acetate (VI), which is oxidized at its terminal double bond with OsO4 and NaIO4 to provide the aldehyde (VII). Finally, this compound is condensed with triphenylphosphorane (VIII) to give the desired thiazole intermediate (IX).

合成路线图解说明:

The cyclization of 3-(benzyloxy)-2(S)-methylpropenal (X) with the diene (XI) by means of TiCl4 in dichloromethane gives the dihydropyranone (XII), which is reduced with LiAlH4 in ethyl ether to yield the alcohol (XIII). The cyclopropanation of (XIII) by means of diiodomethane and Et2Zn in ethyl ether affords the cyclopropano derivative (XIV), which is cleaved by means of N-iodosuccinimide (NIS) in methanol, affording the iodomethyl derivative (XV). The dehalogenation of (XV) by means of Bu3SnH and AIBN in refluxing benzene provides the gem-dimethyltetrahydropyran (XVI), which is treated with triphenylchlorosilane and imidazole in DMF to give the silyl ether (XVII). Opening of the tetrahydropyran ring of (XVII) by means of propane-1,2-dithiol and TiCl4 in dichloromethane yields the 1,3-dithiolane derivative (XVIII), which is treated with Tbdms-OTf and lutidine to afford the disilylated compound (XIX). The debenzylation of (XIX) with DDQ in dichloromethane/water provides the primary alcohol (XX), which is oxidized with oxalyl chloride in DMSO/dichloromethane, furnishing the corresponding aldehyde (XXI). The condensation of (XXI) with the phosphonium salt (XXII) by means of tBu-OK in THF gives the enol ether (XXIII), which is hydrolyzed to the corresponding aldehyde (XXIV) by means of Ts-OH in dioxane/water. The condensation of (XXIV) with phosphonium salt (XXV) by means of NaHMDS in toluene yields the terminal olefin (XXVI), which is treated with phenyliodonium trifluoroacetate in methanol/THF to afford the aldehyde dimethylacetal (XXVII). The condensation of (XXVII) with thiazole intermediate (IX) by means of 9-BBN, a Pd catalyst and Cs2CO3 in DMF/water gives the adduct (XXVIII).

合成路线图解说明:

Hydrolysis of the dimethylacetal group of (XXVIII) with Ts-OH in dioxane/water yields the corresponding aldehyde (XXIX), which is submitted to an intramolecular aldolization by means of KHMDS in THF to afford a mixture of diastereomeric macrolactones (XXX) and (XXXI). The undesired isomer (XXX) was recovered, oxidized with DMP to the ketone (XXXII) and reduced again with NaBH4 to provide high yields of the desired isomer (XXXI). Selective desilylation of (XXXI) with HF/pyridine in THF gives the diol (XXXIII), which is selectively monosilylated with Tbdms-OTf and lutidine in dichloromethane, yielding the bis-silylated triol (XXXIV). The oxidation of the free OH group of (XXXIV) with DMP in dichloromethane affords the corresponding ketonic derivative (XXXV), which is finally deprotected with HF/pyridine in THF, providing the target epothilone C.

合成路线图解说明:

Alternatively, the hydrolysis of the intermediate dimethylacetal (XXVII) with Ts-OH in dioxane/water gives the aldehyde (XXXVI), which is condensed with tert-butyl acetate (XXXVII) by means of LDA in THF, yielding the hydroxyester (XXXVIII). The desilylation of (XXXVIII) with HF/pyridine in THF affords the trihydroxy compound (XXXIX), which is selectively resilylated with Tbdms-OTf and lutidine, providing the bis-silylated compound (XL). The oxidation of the free OH group of (XL) with DMP in dichloromethane gives the ketonic compound (XLI), which is treated with Tbdms-OTf and lutidine in dichloromethane to furnish the silyl ester (XLII). The condensation of (XLII) with the thiazole intermediate (IX) as before gives the adduct (XLIII), which is hydrolyzed by means of K2CO3 in methanol/water, yielding the hydroxyacid (XLIV). The intramolecular lactonization of (XLIV) by means of 2,4,6-trichlorobenzoyl chloride, TEA and DMAP in toluene affords the already reported macrolactone (XXXV), which is finally desilylated with HF/pyridine to give the target epothilone C.

参考文献No.615997
标题:The antibody catalysis route to the total synthesis of epothilones
作者:Sinha, S.C.; Barbas, C.F. III; Lerner, R.A.
来源:Proc Natl Acad Sci USA 1998,95(25),14603
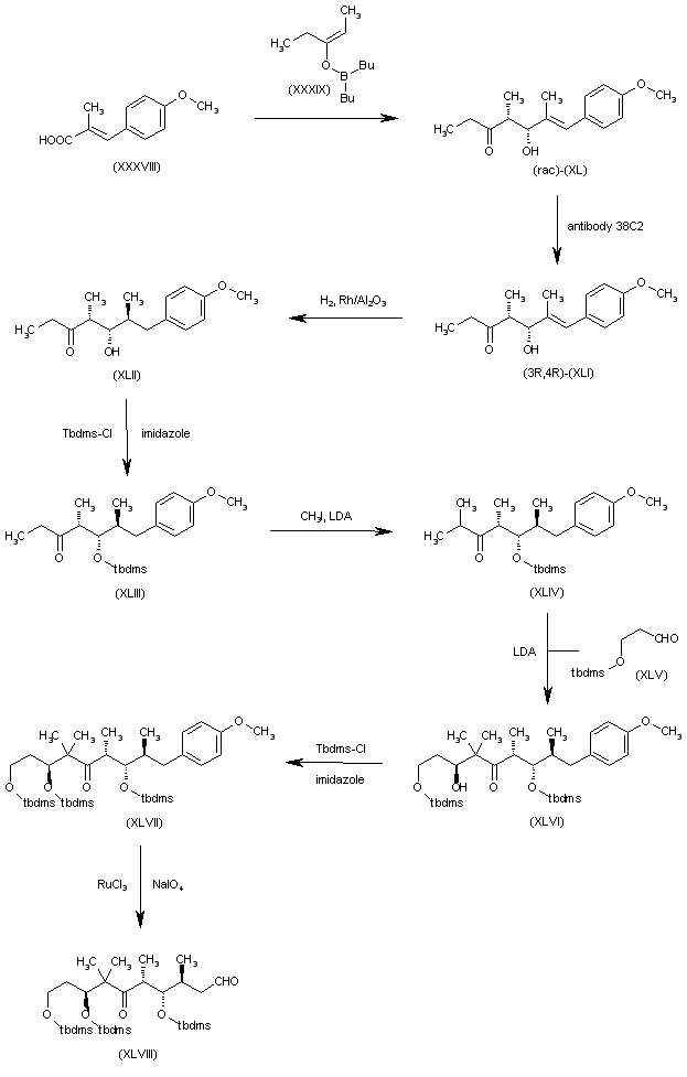
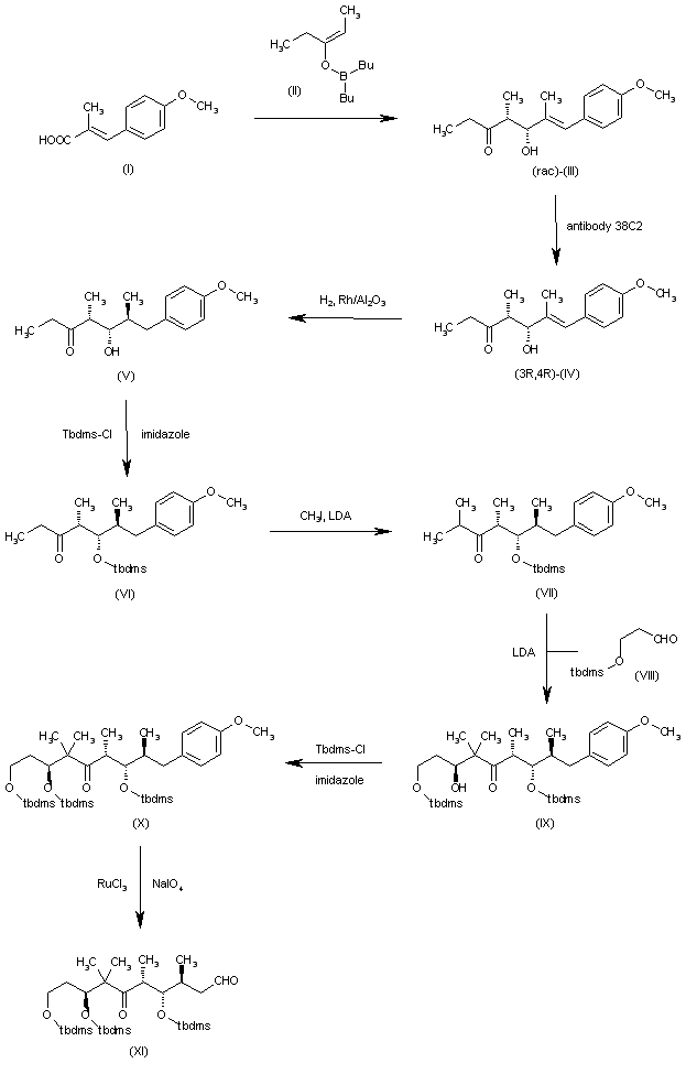
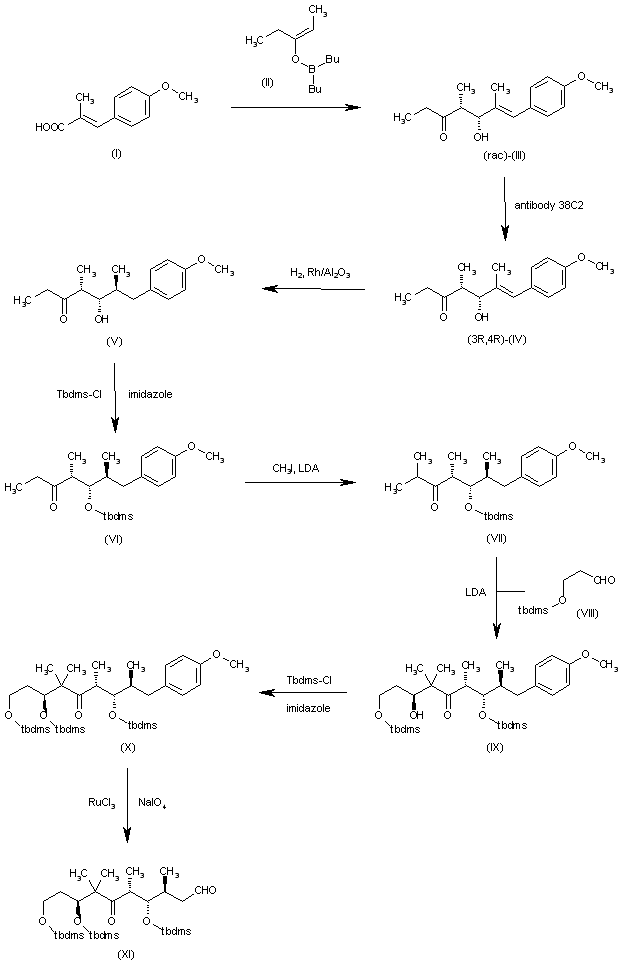
合成路线图解说明:

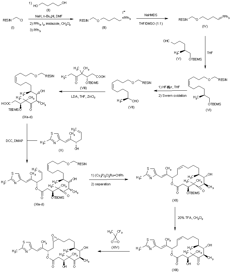
The intermediate carboxylic acid (XVIII) has been obtained as follows: The aldol condensation of 4-methoxy-alpha-methyl-cinnamaldehyde (I) with the enol ether of 3-pentanone (II) gives the racemic aldol (rac)-(III), which is submitted to an enantioselective retroaldol reaction catalyzed by antibody 38C2, yielding the chiral aldol (3R,4R)-(IV). The reduction of the double bond of (IV) with H2 over Rh/Al2O3 in THF affords the saturated hydroxyketone (V), which is treated with Tbdms-Cl and imidazole to provide the silyl ether (VI). The methylation of (VI) with methyl iodide and LDA in THF gives the isopropyl ketone (VII), which is condensed with aldehyde (VIII) by means of LDA in THF to yield the aldol (IX). The reaction of (IX) with Tbdms-Cl and imidazole affords the tris-silyl ether (X), which is oxidized at the aromatic ring by means of RuCl3 and NaIO4 to provide the aldehyde (XI).

合成路线图解说明:

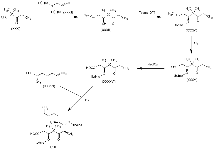
The condensation of (XI) with phosphonate (XII) by means of NaH in THF furnishes the unsaturated ester (XIII). The reduction of the double bond of (XIII) with H2 over Rh/Al2O3, followed by reduction of the ester group with DIBAL and oxidation of the resulting alcohol with DMP, gives rise to the aldehyde (XIV). The Wittig condensation of (XIV) with phosphonium salt (XV) by means of BuLi in THF yields the terminal olefin (XVI), which is selectively desilylated with Ts-OH to afford the primary alcohol (XVII). Finally, this compound is oxidized to the target carboxylic acid intermediate (XVIII) with DMP and NaClO2 in dichloromethane/THF.

合成路线图解说明:

The aldol condensation of 2-methyl-3-(2-methylthiazol-4-yl)-2-propenal (XIX) with acetone (XX) catalyzed by antibody 38C2 gives the chiral aldol (XXI), which is protected with Tbdms-Cl and imidazole, yielding the silyl ether (XXII). The reaction of (XXII) with Tbdms-OTf, followed by oxidation with MCPBA and reduction with NaBH4, affords the vicinal diol (XXIII), which is cleaved with Pb(OAc)4 to provide the aldehyde (XXIV). The Wittig condensation of (XXIV) with phosphonium salt (XV) gives olefinic silyl ether (XXV), which is desilylated with TBAF in THF to yield the homoallylic alcohol (XXVI). The esterification of alcohol (XXVI) with the previously described carboxylic acid (XVIII) by means of EDC in dichloromethane affords the ester (XXVII), which is submitted to a ring-closing metathesis by means of Grubb's catalyst to provide the macrolactone (XXVIII). The desilylation of (XXVIII) with HF and pyridine furnishes the precursor (XXIX), which is finally epoxidated with trifluoroacetone and oxone to give the target epothilone A.

合成路线图解说明:

The aldol condensation of 4-methoxy-alpha-methyl-cinnamaldehyde (XXXVIII) with the enol ether of 3-pentanone (XXXIX) gives the racemic aldol (rac)-(XL), which is submitted to an enantioselective retroaldol reaction catalyzed by antibody 38C2 yielding the chiral aldol (3R,4R)-(XLI). The reduction of the double bond of (XLI) with H2 over Rh/Al2O3 in THF affords the saturated hydroxyketone (XLII), which is treated with Tbdms-Cl and imidazole to provide the silyl ether (XLIII). The methylation of (XLIII) with methyl iodide and LDA in THF gives the isopropyl ketone (XLIV), which is condensed with aldehyde (XLV) by means of LDA in THF to yield the aldol (XLVI). The reaction of (XLVI) with Tbdms-Cl and imidazole affords the tris-silyl ether (XLVII), which is oxidized at the aromatic ring by means of RuCl3 and NaIO4 to provide the aldehyde (XLVIII).

合成路线图解说明:

The condensation of (XLVIII) with phosphonate (XLIX) by means of NaH in THF furnishes the unsaturated ester (L). The reduction of the double bond of (L) with H2 over Rh/Al2O3, followed by reduction of the ester group with DIBAL and oxidation of the resulting alcohol with DMP, gives rise to the aldehyde (LI). The Wittig condensation of (LI) with phosphonium salt (LII) by means of BuLi in THF yields the terminal olefin (LIII), which is selectively desilylated with TsOH to afford the primary alcohol (LIV). Finally, this compound is oxidized to the target carboxylic acid intermediate (XII) with DMP and NaClO2 in dichloromethane/THF.

合成路线图解说明:

The intermediate carboxylic acid (XVIII) has been obtained as follows: The aldol condensation of 4-methoxy-alpha-methyl-cinnamaldehyde (I) with the enol ether of 3-pentanone (II) gives the racemic aldol (rac)-(III), which is submitted to an enantioselective retroaldol reaction catalyzed by antibody 38C2, yielding the chiral aldol (3R,4R)-(IV). The reduction of the double bond of (IV) with H2 over Rh/Al2O3 in THF affords the saturated hydroxyketone (V), which is treated with Tbdms-Cl and imidazole to provide the silyl ether (VI). The methylation of (VI) with methyl iodide and LDA in THF gives the isopropyl ketone (VII), which is condensed with aldehyde (VIII) by means of LDA in THF to yield the aldol (IX). The reaction of (IX) with Tbdms-Cl and imidazole affords the tris-silyl ether (X), which is oxidized at the aromatic ring by means of RuCl3 and NaIO4 to provide the aldehyde (XI).

合成路线图解说明:

The condensation of (XI) with phosphonate (XII) by means of NaH in THF furnishes the unsaturated ester (XIII). The reduction of the double bond of (XIII) with H2 over Rh/Al2O3, followed by reduction of the ester group with DIBAL and oxidation of the resulting alcohol with DMP, gives rise to the aldehyde (XIV). The Wittig condensation of (XIV) with phosphonium salt (XV) by means of BuLi in THF yields the terminal olefin (XVI), which is selectively desilylated with Ts-OH to afford the primary alcohol (XVII). Finally, this compound is oxidized to the target carboxylic acid intermediate (XVIII) with DMP and NaClO2 in dichloromethane/THF.

合成路线图解说明:

The aldol condensation of 2-methyl-3-(2-methylthiazol-4-yl)-2-propenal (XIX) with acetone (XX) catalyzed by antibody 38C2 gives the chiral aldol (XXI), which is protected with Tbdms-Cl and imidazole, yielding the silyl ether (XXII). The reaction of (XXII) with Tbdms-OTf, followed by oxidation with MCPBA and reduction with NaBH4, affords the vicinal diol (XXIII), which is cleaved with Pb(OAc)4 to provide the aldehyde (XXIV). The Wittig condensation of (XXIV) with phosphonium salt (XV) gives olefinic silyl ether (XXV), which is desilylated with TBAF in THF to yield the homoallylic alcohol (XXVI). The esterification of alcohol (XXVI) with the already described carboxylic acid (XVIII) by means of EDC in dichloromethane affords the ester (XXVII), which is submitted to a ring-closing metathesis by means of Grubb's catalyst to provide the macrolactone (XXVIII). Finally, the desilylation of (XXVIII) with HF and pyridine furnishes the target epothilone C.

参考文献No.616456
标题:Cyclo-elimination release strategies applied to solid-phase organic synthesis in drug discovery
作者:Park, K.-H.; Kurth, M.J.
来源:Drugs Fut 2000,25(12),1265
合成路线图解说明:

Butane-1,4-diol (II) is anchored to chloromethyl-RESIN (I) by means of tetrabutylammonium iodide and NaH in DMF, and without isolation is treated with PPh3 I2 and imidazole to yield the phosphonium salt (III), which is treated with NaHMDS in THF/DMSO, affording the phosphorane (IV). The condensation of (IV) with the chiral aldehyde (V) in THF provides the anchored olefin (VI), which is desilylated with HF in pyridine/THF. The resulting alcohol is submitted to a Swern oxidation to give the anchored aldehyde (VII). The condensation of (VII) with the ketoacid (VIII) by means of LDA and ZnCl2 in THF yields the adduct (IX) as a diastereomeric mixture. The esterification of carboxylic acid (IX) with the alcohol (X) by means of DCC and DMAP affords the corresponding ester (XI), which is submitted to a macrocyclic ring-closing metathesis catalyzed by a ruthenium catalyst providing, after chromatographic separation of isomers, the macrocyclic lactone (XII). The desilylation of (XII) by means of TFA in dichloromethane gives the precursor (XIII), which is finally epoxidated with methyl(trifluoromethyl)dioxirane (XI) to yield the target epothilone A.

合成路线图解说明:

Butane-1,4-diol (II) is anchored to chloromethyl-RESIN (I) by means of tetrabutylammonium iodide and NaH in DMF, and without isolation is treated with PPh3 I2 and imidazole to yield the phosphonium salt (III), which is treated with NaHMDS in THF/DMSO, affording the phosphorane (IV). The condensation of (IV) with the chiral aldehyde (V) in THF provides the anchored olefin (VI), which is desilylated with HF in pyridine/THF. The resulting alcohol is submitted to a Swern oxidation to give the anchored aldehyde (VII). The condensation of (VII) with the ketoacid (VIII) by means of LDA and ZnCl2 in THF yields the adduct (IX) as a diastereomeric mixture. The esterification of carboxylic acid (IX) with the alcohol (X) by means of DCC and DMAP affords the corresponding ester (XI), which is submitted to a macrocyclic ring-closing metathesis catalyzed by a ruthenium catalyst providing, after chromatographic separation of isomers, the macrocyclic lactone (XII). Compound (XII) is finally desilylated by means of TFA in dichloromethane to give the target epothilone C.

参考文献No.686835
标题:Aldolase-catalyzed asymmetric synthesis of novel pyranose synthons as a new entry to heterocycles and epothilones
作者:Wong, C.-H.; Liu, J.
来源:Angew Chem. Int Ed Engl 2002,41(8),1404
合成路线图解说明:

The omega iodoalkyl thiazole intermediate (XII) is obtained as follows: The cyclization of 2-hydroxypropionaldehyde dimethyl acetal (I) with acetaldehyde (II) by means of warm Dowex (H+) and catalyzed by 2-deoxyribose-5-phosphate aldolase (DERA) gives the chiral tetrahydrofuran derivative (III), which is acylated with Ac-Cl and pyridine to yield the acetoxy compound (IV). The reaction of (IV) with BF3/Et2O, propane-1,3-dithiol (V) and TiCl4 affords the protected dithiane (VI), which is oxidized with oxalyl chloride in DMSO to provide the ketone (VII). The Wittig condensation of (VII) with phosphine oxide (VIII) by means of BuLi in THF provides the protected alkyl thiazole (IX), which is treated with HgClO4 to cleave the dithiane ring and yield carbaldehyde (X). Finally, this aldehyde is coupled with iodomethylenephosphorane (XI) by means of NaHMDS in THF/HMPA to afford the target omega iodoalkyl thiazole intermediate (XII).

合成路线图解说明:

The oxidation of the lactol (XIII) with Br2 and BaCO3 gives the lactone (XIV), which is stereoselectively alkylated with allyl bromide (XV) by means of LDA in HMPA to yield lactone (XVI). The opening of the lactone ring of (XVI) with MeONa affords the dihydroxyester (XVII), which is protected by reaction with anisaldehyde dimethylacetal (XVIII) and CSA to provide the benzylidene derivative (XIX). The reduction of the ester group of (XIX) with LiAlH4 gives the corresponding carbinol (XX), which is acylated with Ms-Cl and TEA to yield the mesylate (XXI). The reduction of the mesyloxy group of (XXI) with LiAlH4 affords the dimethyl compound (XXII), which is submitted to a regioselective cleavage of the Pmp protecting group by means of DIBAL in toluene to provide the primary alcohol (XXIII). The oxidation of (XXIII) with DMP gives the corresponding aldehyde (XXIV), which is condensed with tert-butyl isobutyrylacetate (XXV) by means of NaH and BuLi to yield the unsaturated ketoester (XXVI). Stereoselective reduction of the beta-oxo group of (XXVI) by means of Me4NBH(OAc)3 affords the desired diol (XXVII), which is regioselectively silylated at the beta-hydroxy group by means of Tbdms-OTf to provide the monosilyl ether (XXVIII). The oxidation of the remaining hydroxy group of (XXVIII) by means of DMP gives the unsaturated ketoester (XXIX).

合成路线图解说明:

The Suzuki coupling of the unsaturated ketoester (XXIX) with the omega iodoalkyl thiazole intermediate (XII) by means of PdCl2(dppf)2, AsPh3, Cs2CO3 and 9-BBN gives the heptadienoic ester (XXX), which is treated with MeONa, Tms-OTf and NaOH to yield the hydroxyacid (XXXI). The macrocyclization of (XXXI) under Yamaguchi conditions affords the macrolactone (XXXII), which is treated with DDQ (cleavage of the Pmb group) to provide the still silylated compound (XXXIII). The treatment of (XXXIII) with HF and pyridine (cleavage of the Tbdms group) gives the free macrolactone (XXXIV), which is finally epoxidated by means of DMDO to furnish the target epothilone A.

合成路线图解说明:

The omega iodoalkyl thiazole intermediate (XII) is obtained as follows: The cyclization of 2-hydroxypropionaldehyde dimethyl acetal (I) with acetaldehyde (II) by means of warm Dowex (H+) and catalyzed by 2-deoxyribose-5-phosphate aldolase (DERA) gives the chiral tetrahydrofuran derivative (III), which is acylated with Ac-Cl and pyridine to yield the acetoxy compound (IV). The reaction of (IV) with BF3/Et2O, propane-1,3-dithiol (V) and TiCl4 affords the protected dithiane (VI), which is oxidized with oxalyl chloride in DMSO to provide the ketone (VII). The Wittig condensation of (VII) with phosphine oxide (VIII) by means of BuLi in THF provides the protected alkyl thiazole (IX), which is treated with HgClO4 to cleave the dithiane ring and yield carbaldehyde (X). Finally, this aldehyde is coupled with iodomethylenephosphorane (XI) by means of NaHMDS in THF/HMPA to afford the target omega iodoalkyl thiazole intermediate (XII).

合成路线图解说明:

The oxidation of the lactol (XIII) with Br2 and BaCO3 gives the lactone (XIV), which is stereoselectively alkylated with allyl bromide (XV) by means of LDA in HMPA to yield lactone (XVI). The opening of the lactone ring of (XVI) with MeONa affords the dihydroxyester (XVII), which is protected by reaction with anisaldehyde dimethylacetal (XVIII) and CSA to provide the benzylidene derivative (XIX). The reduction of the ester group of (XIX) with LiAlH4 gives the corresponding carbinol (XX), which is acylated with Ms-Cl and TEA to yield the mesylate (XXI). The reduction of the mesyloxy group of (XXI) with LiAlH4 affords the dimethyl compound (XXII), which is submitted to a regioselective cleavage of the Pmp protecting group by means of DIBAL in toluene to provide the primary alcohol (XXIII). The oxidation of (XXIII) with DMP gives the corresponding aldehyde (XXIV), which is condensed with tert-butyl isobutyrylacetate (XXV) by means of NaH and BuLi to yield the unsaturated ketoester (XXVI). Stereoselective reduction of the beta-oxo group of (XXVI) by means of Me4NBH(OAc)3 affords the desired diol (XXVII), which is regioselectively silylated at the beta-hydroxy group by means of Tbdms-OTf to provide the monosilyl ether (XXVIII). The oxidation of the remaining hydroxy group of (XXVIII) by means of DMP gives the unsaturated ketoester (XXIX).

合成路线图解说明:

The Suzuki coupling of the unsaturated ketoester (XXIX) with the omega iodoalkyl thiazole intermediate (XII) by means of PdCl2(dppf)2, AsPh3, Cs2CO3 and 9-BBN gives the heptadienoic ester (XXX), which is treated with MeONa, Tms-OTf and NaOH to yield the hydroxyacid (XXXI). The macrocyclization of (XXXI) under Yamaguchi conditions affords the macrolactone (XXXII), which is treated with DDQ (cleavage of the Pmb group) to provide the still silylated compound (XXXIII). Finally, the treatment of (XXXIII) with HF and pyridine (cleavage of the Tbdms group) gives the the target epothilone C.

Drug Information Express,Drug R&D,Chemical Database,Patent Search.
Copyright © 2006-2026 Drug Future. All rights reserved.Contact Us