【药物名称】IDN-5390
化学结构式(Chemical Structure):
参考文献No.663982
标题:Synthesis and evaluation of C-seco paclitaxel analogues
作者:Appendino, G.; et al.
来源:Tetrahedron Lett 1997,38(24),4273
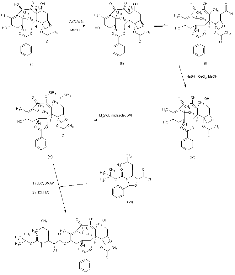
合成路线图解说明:

Oxidation of 10-deacetylbaccatin III (I) by means of cupric acetate yielded diketone (II), in equilibrium with the retroaldol product (III). Subsequent reduction employing NaBH4 and CeCl3 produced the seco-taxane (IV) as the major reaction product. Selective protection of the 7 and 9 hydroxyl groups was achieved by treatment with chlorotriethylsilane and imidazole. The resultant 7,9-disilylated derivative (V) was then acylated by the oxazolidinecarboxylic acid (VI) to furnish, after acidic hydrolysis, the title C-seco taxane derivative.

Drug Information Express,Drug R&D,Chemical Database,Patent Search.
Copyright © 2006-2026 Drug Future. All rights reserved.Contact Us