【药物名称】
化学结构式(Chemical Structure):
参考文献No.614226
标题:2-Arylindole-3-acetamides as FPP-competitive inhibitors of farnesyltransferase
作者:Lumma, W.C.; Quigley, A.G.; Sisko, J.T.; et al.
来源:221st ACS Natl Meet (April 1 2001, San Diego) 2001,Abst MEDI 154
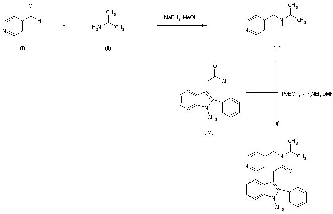
合成路线图解说明:

Reductive amination of pyridine-4-carbaldehyde (I) with isopropylamine (II) in the presence of NaBH4 furnished the secondary amine (III). This was then acylated with the indoleacetic acid (IV) using PyBOP as the coupling reagent to yield the target amide.

Drug Information Express,Drug R&D,Chemical Database,Patent Search.
Copyright © 2006-2026 Drug Future. All rights reserved.Contact Us