【药物名称】
化学结构式(Chemical Structure):
参考文献No.36648
标题:Triaryl substd. imidazoles as glucagon antagonists
作者:Chang, L.L. (Merck & Co., Inc.)
来源:EP 0959886; JP 2000514088; US 5880139; WO 9822109
合成路线图解说明:

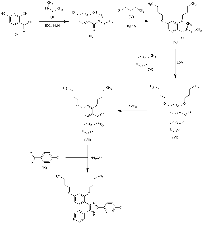
The reaction of 3,5-dihydroxybenzoic acid (I) with N,O-dimethylhydroxylamine (II) by means of EDC and NMM in dichloromethane gives the N,O-dimethylbenzamide (III), which is alkylated with butyl bromide (IV) and K2CO3 in hot DMF to yield the dibutoxybenzamide (V). The condensation of (V) with 4-methylpyridine (VI) by means of LDA in THF affords 1-(2,4-dibutoxyphenyl)-2-(4-pyridyl)ethanone (VII), which is oxidized with SeO2 in hot acetic acid to provide the dione (VIII). Finally, this compound is cyclized with 4-chlorobenzaldehyde (IX) and ammonium acetate in refluxing acetic acid to furnish the target imidazole.

参考文献No.613885
标题:Selective, non-peptide antagonists for the glucagon receptor: Substituted imidazoles
作者:de Laszlo, S.; O'Keefe, S.; Li, B.; MacCoss, M.; Rolando, A.; mantlo, N.; Koch, G.; Cascieri, M.A.; Hagmann, W.K.; Chang, L.L.; Pang, M.; Sidler, K.L.
来源:221st ACS Natl Meet (April 1 2001, San Diego) 2001,Abst MEDI 237
合成路线图解说明:

The reaction of 3,5-dihydroxybenzoic acid (I) with N,O-dimethylhydroxylamine (II) by means of EDC and NMM in dichloromethane gives the N,O-dimethylbenzamide (III), which is alkylated with butyl bromide (IV) and K2CO3 in hot DMF to yield the dibutoxybenzamide (V). The condensation of (V) with 4-methylpyridine (VI) by means of LDA in THF affords 1-(2,4-dibutoxyphenyl)-2-(4-pyridyl)ethanone (VII), which is oxidized with SeO2 in hot acetic acid to provide the dione (VIII). Finally, this compound is cyclized with 4-chlorobenzaldehyde (IX) and ammonium acetate in refluxing acetic acid to furnish the target imidazole.

参考文献No.634132
标题:Substituted imidazoles as gluagon receptor antagonists
作者:Chang, L.L.; Sidler, K.L..; Cascieri, M.A.; de Laszlo, S.; Koch, G.; Li, B.; MacCoss, M.; mantlo, N.; O'Keefe, S.; Pang, M.; Rolando, A.; Hagmann, W.K.
来源:Bioorg Med Chem Lett 2001,11(18),2549
合成路线图解说明:

The reaction of 3,5-dihydroxybenzoic acid (I) with N,O-dimethylhydroxylamine (II) by means of EDC and NMM in dichloromethane gives the N,O-dimethylbenzamide (III), which is alkylated with butyl bromide (IV) and K2CO3 in hot DMF to yield the dibutoxybenzamide (V). The condensation of (V) with 4-methylpyridine (VI) by means of LDA in THF affords 1-(2,4-dibutoxyphenyl)-2-(4-pyridyl)ethanone (VII), which is oxidized with SeO2 in hot acetic acid to provide the dione (VIII). Finally, this compound is cyclized with 4-chlorobenzaldehyde (IX) and ammonium acetate in refluxing acetic acid to furnish the target imidazole.

Drug Information Express,Drug R&D,Chemical Database,Patent Search.
Copyright © 2006-2026 Drug Future. All rights reserved.Contact Us