【药物名称】A-259745
化学结构式(Chemical Structure):
参考文献No.42149
标题:Substd. oxazolines as antiproliferative agents
作者:Woods, K.W.; Wang, L.; Kalvin, D.M.; Barr, K.J.; Li, Q.; Liu, G.; Gwaltney, S.L. II; Claiborne, A.K.; Jae, H.-S.; Sham, H.L. (Abbott Laboratories Inc.)
来源:WO 0006556
合成路线图解说明:

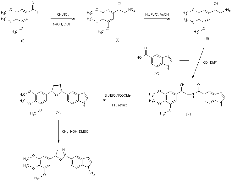
Condensation of 3,4,5-trimethoxybenzaldehyde (I) with nitromethane in the presence of KOH produced the nitro alcohol (II), which was subsequently hydrogenated over Pd/C to afford amino alcohol (III). Acylation of (III) with 5-indolecarboxylic acid (IV) gave the corresponding amide (V). Oxazoline (VI) was then obtained by cyclization of (V) in the presence of Burgess reagent. Finally, N-methylation of the indole ring with MeI and KOH furnished the title compound.

参考文献No.48928
标题:Oxazoline antiproliferative agents
作者:Sham, H.L.; Jae, H.-S.; Li, Q.; Wang, L.; Woods, K.W.; Liu, G.; Barr, K.J.; Kalvin, D.M.; Gwaltney, S.L. II; Claiborne, A.K. (Abbott Laboratories Inc.)
来源:US 6228868
合成路线图解说明:

Condensation of 3,4,5-trimethoxybenzaldehyde (I) with nitromethane in the presence of KOH produced the nitro alcohol (II), which was subsequently hydrogenated over Pd/C to afford amino alcohol (III). Acylation of (III) with 5-indolecarboxylic acid (IV) gave the corresponding amide (V). Oxazoline (VI) was then obtained by cyclization of (V) in the presence of Burgess reagent. Finally, N-methylation of the indole ring with MeI and KOH furnished the title compound.

参考文献No.613882
标题:Antimitotic agents with activity in multidrug-resistant tumor cell lines
作者:Sorensen, B.K.; Liu, G.; Tasker, A.S.; et al.
来源:221st ACS Natl Meet (April 1 2001, San Diego) 2001,Abst MEDI 139
合成路线图解说明:

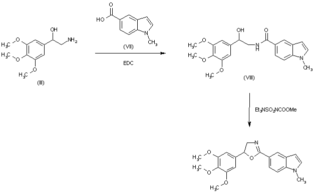
In a closely related procedure, amino alcohol (III) was coupled with 1-methyl-5-indolecarboxylic acid (VII) to afford amide (VIII). This was then cyclized to the target oxazoline by using the Burgess reagent.

参考文献No.643313
标题:New antimitotic agents with activity in multi-drug-resistant cell lines and in vivo efficacy in murine tumor models
作者:Szczepankiewicz, B.G.; Liu, G.; Jae, H.-S.; Tasker, A.S.; Gunawardana, I.W.; von Geldern, T.W.; Gwaltney, S.L. II; Wu-Wong, J.R.; Gehrke, L.; Chiou, W.J.; Credo, R.B.; Alder, J.D.; Nukkala, M.A.; Zielinski, N.A.; Jarvis, K.; Mollison, K.W.; et al.
来源:J Med Chem 2001,44(25),4416
合成路线图解说明:

Condensation of 3,4,5-trimethoxybenzaldehyde (I) with nitromethane in the presence of KOH produced the nitro alcohol (II), which was subsequently hydrogenated over Pd/C to afford amino alcohol (III). Acylation of (III) with 5-indolecarboxylic acid (IV) gave the corresponding amide (V). Oxazoline (VI) was then obtained by cyclization of (V) in the presence of Burgess reagent. Finally, N-methylation of the indole ring with MeI and KOH furnished the title compound.

合成路线图解说明:

In a closely related procedure, amino alcohol (III) was coupled with 1-methyl-5-indolecarboxylic acid (VII) to afford amide (VIII). This was then cyclized to the target oxazoline by using the Burgess reagent.

Drug Information Express,Drug R&D,Chemical Database,Patent Search.
Copyright © 2006-2026 Drug Future. All rights reserved.Contact Us