【药物名称】SB-T-12130301
化学结构式(Chemical Structure):
参考文献No.613868
标题:Synthesis and SAR of advanced second generation taxoids
作者:Strum, M.; Tynebor, R.; Pera, P.; Bernacki, R.J.; Ojima, I.
来源:221st ACS Natl Meet (April 1 2001, San Diego) 2001,Abst MEDI 132
合成路线图解说明:

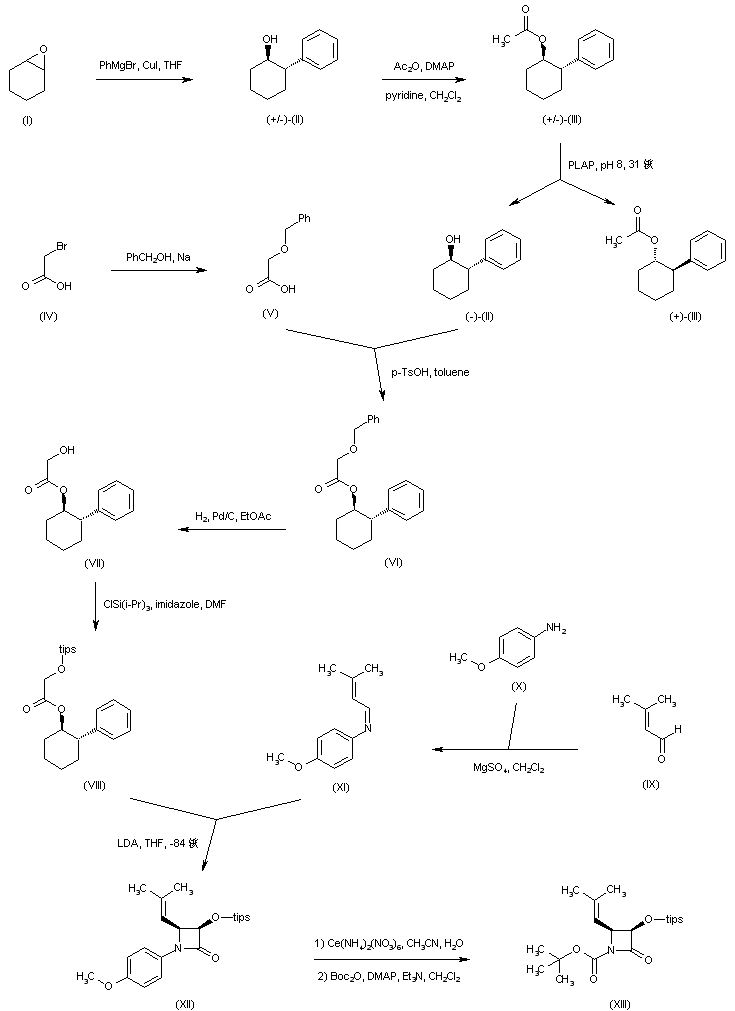
Ring opening of cyclohexene oxide (I) with phenylmagnesium bromide in the presence of CuI, followed by acetylation of the resulting alcohol (II) gave the racemic trans-2-phenylcyclohexyl acetate (III). Enzymatic resolution of (III) using porcine liver acetone powder yielded the desired (-)-alcohol (II) along with unreacted (+)-acetate (III). Condensation of the sodium alkoxide of benzyl alcohol with bromoacetic acid (IV) afforded benzyloxyacetic acid (V), which was then coupled with the chiral alcohol (-)-(II) to give ester (VI). Hydrogenolysis of the O-benzyl group of (VI), followed by silylation of the resulting hydroxyacetate ester (VII) with triisopropylsilyl chloride, furnished (VIII). Imine (XI) was prepared by condensation of 3-methyl-2-butenal (IX) with p-anisidine (X). The asymmetric cyclocondensation reaction of the lithium enolate derived from ester (VIII) with imine (XI) yielded the chiral beta-lactam (XII). Oxidative removal of the p-methoxyphenyl protecting group of (XII) and then reprotection of the lactam N atom with Boc2O furnished the intermediate N-Boc lactam (XIII).

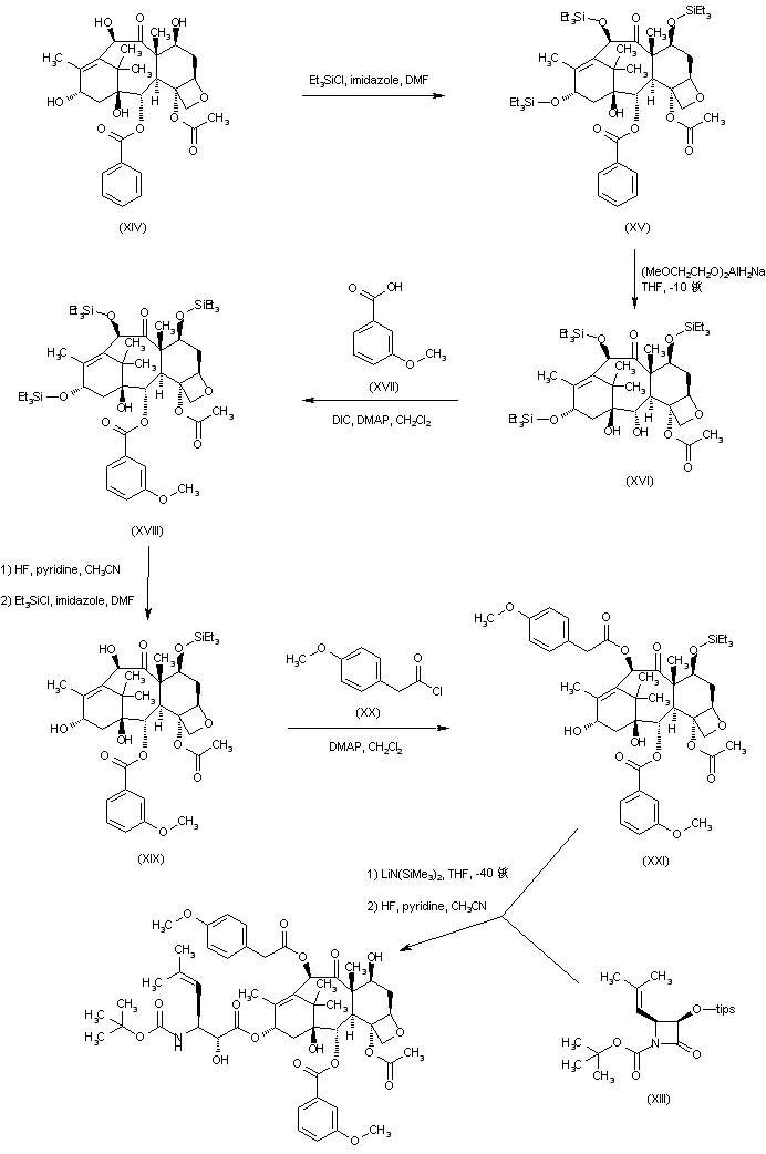
合成路线图解说明:

10-Deacetylbaccatin III (XIV) was protected by treatment with triethylsilyl chloride and imidazole, and the resulting trisilylated compound (XV) was debenzoylated to diol (XVI) by using Red-Al(R). Selective coupling of (XVI) with m-anisic acid (XVII) yielded the m-methoxybenzoate ester (XVIII). Complete desilylation of (XVIII) with HF-pyridine, followed by selective resilylation at C-7, furnished (XIX). The 10-hydroxyl group was then selectively acylated with p-methoxyphenylacetyl chloride (XX) to afford ester (XXI). Finally, coupling of the modified baccatin (XXI) with the intermediate lactam (XIII) in the presence of lithium hexamethyldisilazide, and then deprotection with HF-pyridine, gave rise to the desired taxoid.

Drug Information Express,Drug R&D,Chemical Database,Patent Search.
Copyright © 2006-2026 Drug Future. All rights reserved.Contact Us