【药物名称】SKI-606
化学结构式(Chemical Structure):
参考文献No.51575
标题:Substituted 3-cyano quinolines
作者:Tsou, H.-R.; Wissner, A.; Johnson, B.D.; Reich, M.F.; Floyd, M.B. Jr.; Kitchen, D.B. (American Cyanamid Co.)
来源:US 6002008
合成路线图解说明:

Alkylation of 4-hydroxy-5-methoxy benzoic acid methyl ester (I) with 3-chloropropyl p-toluene sulfonate (III) by means of K2CO3 and methyl-tricapryl ammonium chloride (Aliquat 128) in refluxing acetone affords compound (III), which is then nitrated by means of HNO3 in HOAc to furnish 2-nitro derivative (IV). Reduction of the nitro moiety of (IV) by means of Fe in H2O/MeOH in the presence of ammonium chloride yields 2-amino compound (V), which is subjected to reaction with refluxing dimethylformamide dimethylacetal (VI) to provide amidine (VII). Condensation of (VII) with acetonitrile by means of n-BuLi in hexane/THF/HOAc gives substituted quinoline-carbonitrile (IX), whose hydroxyl group is replaced by a chlorine by treatment of (IX) with refluxing POCl3 to afford compound (X). Coupling of (X) with 2,4-dichloro-5-methoxyaniline (XI) in 2-ethoxyethanol in the presence of pyridine hydrochloride yields compound (XII), which is finally converted into the desired compound by condensation with 1-methylpiperazine (XII) by means of NaI in refluxing ethylene glycol dimethyl ether.

合成路线图解说明:

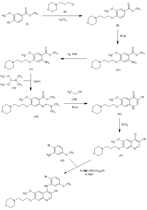
The alkylation of 4-hydroxy-3-methoxybenzoic acid methyl ester (I) with 3-(4-morpholinyl)propyl chloride (II) and tetrabutylammonium chloride in refluxing butanone gives 3-methoxy-4-[3-(4-morpholinyl)propoxy]benzoic acid methyl ester (III), which is nitrated with HNO3 in hot acetic acid to yield 5-methoxy-4-[3-(4-morpholinyl)propoxy]-2-nitrobenzoic acid methyl ester (IV). The reduction of (III) with H2 over Pd/C in methanol/ethyl acetate to afford the corresponding 2-amino ester (V), which is condensed with dimethylformamide dimethylacetal (VI) by heating at 100 C to provide the 2-(dimethylaminomethyleneamino) derivative (VII). The cyclization of (VII) with acetonitrile (VIII) by means of BuLi and CO2 in THF gives 6-methoxy-7-[3-(4-morpholinyl)propoxy]-4-oxo-1,4-dihydroquinoline-3-carbonitrile (IX), which is treated with refluxing SOCl2 to yield the 4-chloroquinoline derivative (X). Finally, this compound is condensed with 2-bromo-5-methoxyaniline by means of pyridine hydrochloride in 2-ethoxyethanol or NaH in THF (or DMF).

参考文献No.608664
标题:Synthesis and Src kinase inhibitory activity of a series of 4-phenylamino-3-quinolinecarbonitriles
作者:Boschelli, D.H.; Wang, Y.D.; Ye, F.; Wu, B.; Zhang, N.; Dutia, M.; Powell, D.W.; Wissner, A.; Arndt, K.; Weber, J.M.; Boschelli, F.
来源:J Med Chem 2001,44(5),822
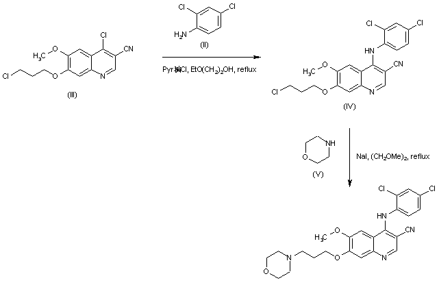
合成路线图解说明:

Chloroquinoline derivative (I) was condensed with 2,4-dichloroaniline (II) in boiling ethoxyethanol in the presence of pyridine hydrochloride to furnish the title compound.

合成路线图解说明:

In an alternative synthesis, the chloropropoxy derivative (III) was similarly condensed with 2,4-dichloroaniline (II) to give (IV), which was then treated with morpholine (V), yielding the title compound.

合成路线图解说明:

Alkylation of 4-hydroxy-5-methoxy benzoic acid methyl ester (I) with 3-chloropropyl p-toluene sulfonate (III) by means of K2CO3 and methyl-tricapryl ammonium chloride (Aliquat 128) in refluxing acetone affords compound (III), which is then nitrated by means of HNO3 in HOAc to furnish 2-nitro derivative (IV). Reduction of the nitro moiety of (IV) by means of Fe in H2O/MeOH in the presence of ammonium chloride yields 2-amino compound (V), which is subjected to reaction with refluxing dimethylformamide dimethylacetal (VI) to provide amidine (VII). Condensation of (VII) with acetonitrile by means of n-BuLi in hexane/THF/HOAc gives substituted quinoline-carbonitrile (IX), whose hydroxyl group is replaced by a chlorine by treatment of (IX) with refluxing POCl3 to afford compound (X). Coupling of (X) with 2,4-dichloro-5-methoxyaniline (XI) in 2-ethoxyethanol in the presence of pyridine hydrochloride yields compound (XII), which is finally converted into the desired compound by condensation with 1-methylpiperazine (XII) by means of NaI in refluxing ethylene glycol dimethyl ether.

参考文献No.613877
标题:Inhibition of SRC kinase activity by 4-phenylamino-3-quinolinecarbonitriles Part 2: Optimization of the side chain at C-7
作者:Boschelli, D.H.; Dutia, M.; Ye, F.; et al.
来源:221st ACS Natl Meet (April 1 2001, San Diego) 2001,Abst MEDI 145
合成路线图解说明:

Alkylation of 4-hydroxy-5-methoxy benzoic acid methyl ester (I) with 3-chloropropyl p-toluene sulfonate (III) by means of K2CO3 and methyl-tricapryl ammonium chloride (Aliquat 128) in refluxing acetone affords compound (III), which is then nitrated by means of HNO3 in HOAc to furnish 2-nitro derivative (IV). Reduction of the nitro moiety of (IV) by means of Fe in H2O/MeOH in the presence of ammonium chloride yields 2-amino compound (V), which is subjected to reaction with refluxing dimethylformamide dimethylacetal (VI) to provide amidine (VII). Condensation of (VII) with acetonitrile by means of n-BuLi in hexane/THF/HOAc gives substituted quinoline-carbonitrile (IX), whose hydroxyl group is replaced by a chlorine by treatment of (IX) with refluxing POCl3 to afford compound (X). Coupling of (X) with 2,4-dichloro-5-methoxyaniline (XI) in 2-ethoxyethanol in the presence of pyridine hydrochloride yields compound (XII), which is finally converted into the desired compound by condensation with 1-methylpiperazine (XII) by means of NaI in refluxing ethylene glycol dimethyl ether.

参考文献No.639259
标题:Optimization of 4-phenylamino-3-quinolinecarbonitriles as potent inhibitors of Src kinase activity
作者:Boschelli, D.H.; Ye, F.; Wang, Y.D.; Dutia, M.; Johnson, S.L.; Wu, B.; Miller, K.; Powell, D.W.; Yaczko, D.; Young, M.; Tischler, M.; Arndt, K.; Discafani, C.; Etienne, C.; Gibbons, J.; Grod, J.; Lucas, J.; Weber, J.M.; Boschelli, F.
来源:J Med Chem 2001,44(23),3965
合成路线图解说明:

Alkylation of 4-hydroxy-5-methoxy benzoic acid methyl ester (I) with 3-chloropropyl p-toluene sulfonate (III) by means of K2CO3 and methyl-tricapryl ammonium chloride (Aliquat 128) in refluxing acetone affords compound (III), which is then nitrated by means of HNO3 in HOAc to furnish 2-nitro derivative (IV). Reduction of the nitro moiety of (IV) by means of Fe in H2O/MeOH in the presence of ammonium chloride yields 2-amino compound (V), which is subjected to reaction with refluxing dimethylformamide dimethylacetal (VI) to provide amidine (VII). Condensation of (VII) with acetonitrile by means of n-BuLi in hexane/THF/HOAc gives substituted quinoline-carbonitrile (IX), whose hydroxyl group is replaced by a chlorine by treatment of (IX) with refluxing POCl3 to afford compound (X). Coupling of (X) with 2,4-dichloro-5-methoxyaniline (XI) in 2-ethoxyethanol in the presence of pyridine hydrochloride yields compound (XII), which is finally converted into the desired compound by condensation with 1-methylpiperazine (XII) by means of NaI in refluxing ethylene glycol dimethyl ether.

Drug Information Express,Drug R&D,Chemical Database,Patent Search.
Copyright © 2006-2026 Drug Future. All rights reserved.Contact Us