【药物名称】
化学结构式(Chemical Structure):
参考文献No.39815
标题:Ortho-anthranilamide derivs. as anticoagulants
作者:Snider, R.M.; Liang, A.M.; Wu, S.C.; Arnaiz, D.O.; Sacchi, K.L.; Kochanny, M.J.; Phillips, G.B.; Ye, B.; Zhao, Z.; Morrissey, M.M.; Griedel, B.D.; Lee, W.; Sakata, S.T.; Karanjawala, R.E.; Chou, Y.-L.; Shaw, K.J. (Schering AG)
来源:EP 1040108; JP 2001526283; US 6140351; WO 9932477
合成路线图解说明:

Treatment of 3-methoxy-2-nitrobenzoic acid (I) with oxalyl chloride gave the corresponding acid chloride (II), which was then coupled with 2-amino-5-chloropyridine (III) to yield amide (IV). The reduction of the nitro group of (IV) using sodium hydrosulfite afforded aniline (V). Further chlorination of (V) with N-chlorosuccinimide furnished the 5-chloro derivative (VI).

合成路线图解说明:

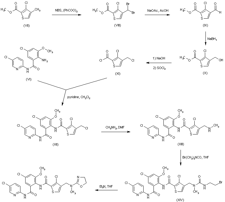
Benzylic bromination of 2-(methoxycarbonyl)-3-chloro-4-methylthiophene (VII) gave rise to dibromide (VIII), which was further hydrolyzed to aldehyde (IX) using sodium acetate and acetic acid. Reduction of aldehyde (IX) with NaBH4 afforded alcohol (X). After basic hydrolysis of the methyl ester group of (X), the resulting hydroxy acid was treated with thionyl chloride to furnish (XI). Condensation of aniline (VI) with acid chloride (XI) gave amide (XII). Subsequent chloride displacement with methylamine yielded amine (XIII). This was then condensed with 2-bromoethyl isocyanate, producing the N-(2-bromoethyl)urea (XIV). Cyclization of bromo urea (XIV) upon treatment with triethylamine (1,2) or with other amines generated the title oxazoline derivative.

参考文献No.613875
标题:Design, synthesis, and biological activity of novel non-amidine factor Xa inhibitors, 4: Optimization of hydrophilic substituents for potency and oral availability
作者:Cheeseman, S.; Chou, Y.-L.; Ye, B.; et al.
来源:221st ACS Natl Meet (April 1 2001, San Diego) 2001,Abst MEDI 128
合成路线图解说明:

Treatment of 3-methoxy-2-nitrobenzoic acid (I) with oxalyl chloride gave the corresponding acid chloride (II), which was then coupled with 2-amino-5-chloropyridine (III) to yield amide (IV). The reduction of the nitro group of (IV) using sodium hydrosulfite afforded aniline (V). Further chlorination of (V) with N-chlorosuccinimide furnished the 5-chloro derivative (VI).

合成路线图解说明:

Benzylic bromination of 2-(methoxycarbonyl)-3-chloro-4-methylthiophene (VII) gave rise to dibromide (VIII), which was further hydrolyzed to aldehyde (IX) using sodium acetate and acetic acid. Reduction of aldehyde (IX) with NaBH4 afforded alcohol (X). After basic hydrolysis of the methyl ester group of (X), the resulting hydroxy acid was treated with thionyl chloride to furnish (XI). Condensation of aniline (VI) with acid chloride (XI) gave amide (XII). Subsequent chloride displacement with methylamine yielded amine (XIII). This was then condensed with 2-bromoethyl isocyanate, producing the N-(2-bromoethyl)urea (XIV). Cyclization of bromo urea (XIV) upon treatment with triethylamine (1,2) or with other amines generated the title oxazoline derivative.

Drug Information Express,Drug R&D,Chemical Database,Patent Search.
Copyright © 2006-2026 Drug Future. All rights reserved.Contact Us