【药物名称】KI-60606
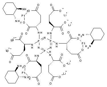
化学结构式(Chemical Structure):
参考文献No.45139
标题:Platinum complex conjugated to cyclotriphosphazene, its preparation, and anticancer agent comprising the same
作者:Lee, C.O.; Sohn, Y.S.; Baek, H.G. (Il-Yang Pharmaceutical Co., Ltd.; Korea Institute of Science and Technology)
来源:EP 1082331; US 6221906; WO 0058321
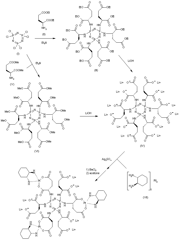
合成路线图解说明:

Treatment of hexachlorocyclotriphosphazene (I) with L-glutamic acid diethyl ester (II) in toluene in the presence of Et3N provides the ethyl glutamate derivative of cyclotriphosphazene (III), which is then subjected to saponification with LiOH in H2O to furnish compound (IV) (alternatively, the same procedure can be followed by performing the reaction between (I) and L-glutamic acid dimethyl ester (V) to afford the methyl glutamate derivative of cyclotriphosphazene (VI), which is saponified under the same conditions as (III)). Finally, the target product is obtained by reaction of intermediate (IV) with platinum derivative (VII) by means of Ag2SO4 in water, followed by treatment with BaCl2.H2O and precipitation in acetone.

参考文献No.613479
标题:Synthesis and antitumor activity of cyclotriphosphazene - (diamine)platinum (II) conjugates
作者:Baek, H.; Cho, Y.; Lee, C.O.; Sohn, Y.S.
来源:Anti-Cancer Drugs 2000,11(9),715
合成路线图解说明:

Treatment of hexachlorocyclotriphosphazene (I) with L-glutamic acid diethyl ester (II) in toluene in the presence of Et3N provides the ethyl glutamate derivative of cyclotriphosphazene (III), which is then subjected to saponification with LiOH in H2O to furnish compound (IV) (alternatively, the same procedure can be followed by performing the reaction between (I) and L-glutamic acid dimethyl ester (V) to afford the methyl glutamate derivative of cyclotriphosphazene (VI), which is saponified under the same conditions as (III)). Finally, the target product is obtained by reaction of intermediate (IV) with platinum derivative (VII) by means of Ag2SO4 in water, followed by treatment with BaCl2.H2O and precipitation in acetone.

Drug Information Express,Drug R&D,Chemical Database,Patent Search.
Copyright © 2006-2026 Drug Future. All rights reserved.Contact Us