【药物名称】
化学结构式(Chemical Structure):
参考文献No.50414
标题:Inhibitor for 20-HETE-yielding enzyme
作者:Sato, M.; Kobayashi, Y.; Miyata, N.; Ishii, T.; Amada, H. (Taisho Pharmaceutical Co., Ltd.)
来源:EP 1226819; WO 0132164
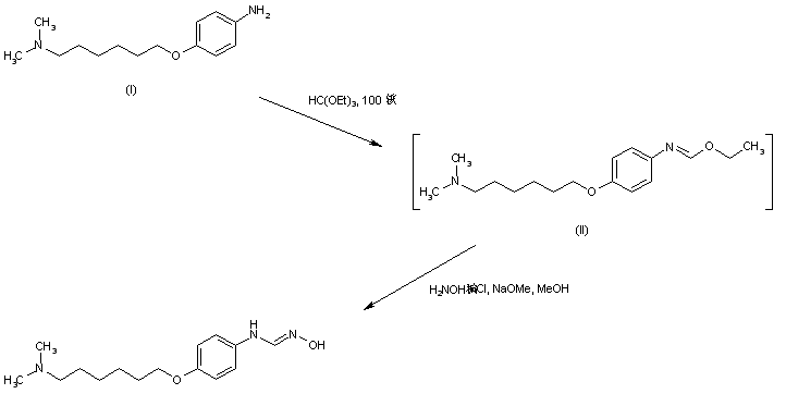
合成路线图解说明:

Aniline (I) is condensed with triethyl orthoformate at 100 C to produce the intermediate imidate (II) which, upon treatment with hydroxylamine, gives rise to the target N-hydroxy formamidine.

Drug Information Express,Drug R&D,Chemical Database,Patent Search.
Copyright © 2006-2026 Drug Future. All rights reserved.Contact Us