【药物名称】JJC-1-059
化学结构式(Chemical Structure):
参考文献No.613184
标题:[3-cis-3,5-Dimethyl-1-piperazinyl)alkyl]-bis-(4'-fluorophenyl)amines analogs as novel probes for the dopamine transporter
作者:Ca, J.; Newman, A.H.; Kopajtic, T.; Katz, J.L.; Husbands, S.M.
来源:221st ACS Natl Meet (April 1 2001, San Diego) 2001,Abst MEDI 96
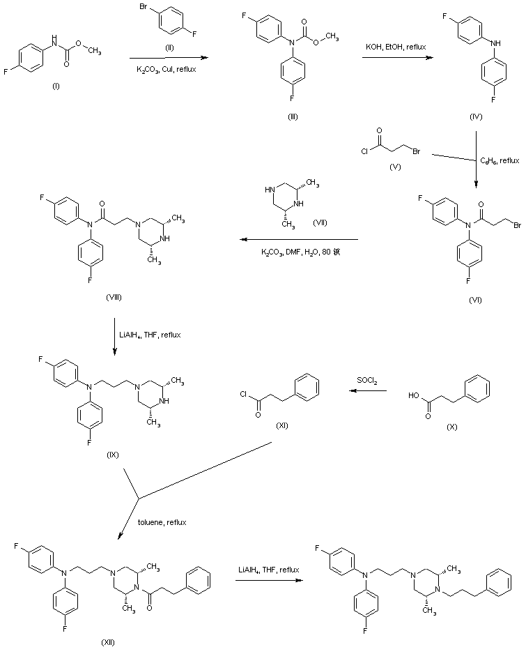
合成路线图解说明:

The CuI-assisted coupling between methyl N-(4-fluorophenyl)carbamate (I) and 1-bromo-4-fluorobenzene (II) produced the N,N-bis(4-fluorophenyl)carbamate (III), which was subsequently hydrolyzed to bis(4-fluorophenyl)amine (IV) using ethanolic KOH. Acylation of diarylamine (IV) with 3-bromopropionyl chloride (V) gave bromopropionamide (VI). This was then condensed with cis-2,6-dimethylpiperazine (VII) to yield the 3-piperazinylpropionamide (VIII). Amide reduction with LiAlH4 provided the triamino compound (IX). Acid chloride (XI), prepared from hydrocinnamic acid (X), was then coupled with piperazine (IX) to furnish amide (XII). The amide function was finally reduced to the corresponding amine by using LiAlH4.

参考文献No.648609
标题:[3-cis-3,5-Dimethyl-(1-piperazinyl)alkyl]-bis-(4'-fluorophenyl)amine analogues as novel for the dopamine transporter
作者:Cao, J.; Husbands, S.M.; Kopajtic, T.; Katz, J.L.; Newman, A.H.
来源:Bioorg Med Chem Lett 2001,11(24),3169
合成路线图解说明:

The CuI-assisted coupling between methyl N-(4-fluorophenyl)carbamate (I) and 1-bromo-4-fluorobenzene (II) produced the N,N-bis(4-fluorophenyl)carbamate (III), which was subsequently hydrolyzed to bis(4-fluorophenyl)amine (IV) using ethanolic KOH. Acylation of diarylamine (IV) with 3-bromopropionyl chloride (V) gave bromopropionamide (VI). This was then condensed with cis-2,6-dimethylpiperazine (VII) to yield the 3-piperazinylpropionamide (VIII). Amide reduction with LiAlH4 provided the triamino compound (IX). Acid chloride (XI), prepared from hydrocinnamic acid (X), was then coupled with piperazine (IX) to furnish amide (XII). The amide function was finally reduced to the corresponding amine by using LiAlH4.

Drug Information Express,Drug R&D,Chemical Database,Patent Search.
Copyright © 2006-2026 Drug Future. All rights reserved.Contact Us