【药物名称】SX-477
化学结构式(Chemical Structure):
参考文献No.613183
标题:Novel, highly potent and selective serotonin 5-HT2A/dopamine D2 receptor antagonists as potential antipsychotics
作者:Boyle, K.E.; Robichaud, A.J.; Lee, T.; et al.
来源:221st ACS Natl Meet (April 1 2001, San Diego) 2001,Abst MEDI 98
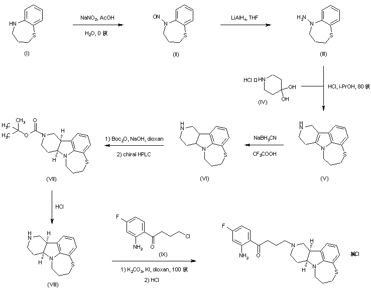
合成路线图解说明:

Nitrosation of tetrahydrobenzothiazepine (I) with NaNO2 and HOAc, followed by LiAlH4 reduction of the resulting N-nitroso derivative (II), furnished hydrazine (III). Subsequent Fischer indole cyclization of hydrazine (III) with piperidone hydrate (IV) under acidic conditions afforded the tetracyclic system (V). The pyrrole ring double bond of (V) was then reduced employing NaBH3CN and CF3COOH to provide the racemic cis-tetracycle (VI). Resolution of (VI) was carried out by preparative chiral HPLC of the corresponding N-Boc derivative. The desired N-Boc enantiomer (VII) was then deprotected by acidic treatment to give the chiral secondary amine (VIII). This was finally alkylated with 4-chloro-4'-fluorobutyrophenone (IX) to yield the title compound.

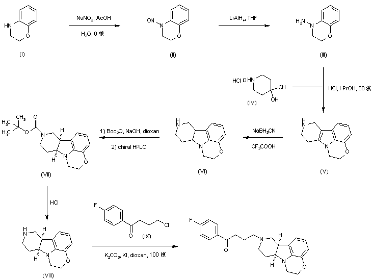
合成路线图解说明:

Nitrosation of dihydrobenzoxazine (I) with NaNO2 and HOAc, followed by LiAlH4 reduction of the resulting N-nitroso derivative (II), furnished hydrazine (III). Subsequent Fischer indole cyclization of hydrazine (III) with piperidone hydrate (IV) under acidic conditions afforded the tetracyclic system (V). The pyrrole ring double bond of (V) was then reduced employing NaBH3CN and CF3COOH to provide the racemic cis-tetracycle (VI). Resolution of (VI) was carried out by preparative chiral HPLC of the corresponding N-Boc derivative. The desired N-Boc enantiomer (VII) was then deprotected by acidic treatment to give the chiral secondary amine (VIII). This was finally alkylated with 2'-amino-4-chloro-4'-fluorobutyrophenone (IX) to yield the title compound.

Drug Information Express,Drug R&D,Chemical Database,Patent Search.
Copyright © 2006-2026 Drug Future. All rights reserved.Contact Us