【药物名称】IK-264
化学结构式(Chemical Structure):
参考文献No.613182
标题:Synthesis and biological evaluation of novel, selective 5-HT2C receptor agonists for the treatment of obesity
作者:Robichaud, A.J.; Chen, W.; McClung, C.; et al.
来源:221st ACS Natl Meet (April 1 2001, San Diego) 2001,Abst MEDI 105
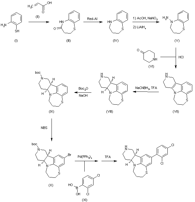
合成路线图解说明:

Condensation of substituted aniline (I) with acrylic acid (II) in toluene affords bicyclic derivative (III), whose carbonyl is reduced by means of Red-Al in toluene to yield compound (IV). Conversion of (IV) into bicyclic hydrazine (V) is then performed by treatment with NaNO2 and HOAc followed by reduction of the resulting diazo derivative with LiAlH4 in THF. Derivative (V) is then subjected to a Fisher indole cyclization process by reaction with ketone (VI) and HCl in iPrOH to provide compound (VII), which is then regioselectively reduced with NaCNBH3 in TFA to give tetracyclic indoline (VIII). N-Protection of (VIII) with Boc2O and NaOH affords Boc protected derivative (IX), which is then selectively brominated by means of NBS in DMF to yield bromo derivative (X). Finally, the desired compound is obtained by a Suzuki cross-coupling reaction between (X) and boronic acid (XI) catalyzed by Pd(PPh3)4, followed by Boc removal with TFA in CH2Cl2.

Drug Information Express,Drug R&D,Chemical Database,Patent Search.
Copyright © 2006-2026 Drug Future. All rights reserved.Contact Us