【药物名称】SCH-62373
化学结构式(Chemical Structure):
参考文献No.31535
标题:Piperazino derivs. as neurokinin antagonists
作者:Shue, H.-J.; Shih, N.-Y.; Blythin, D.J.; Chen, X.; Tom, W.C.; Piwinski, J.J.; McCormick, K.D. (Schering Corp.)
来源:EP 0823906; US 5719156; WO 9634864
合成路线图解说明:

Reaction of 2-chloropyrazine (I) with 3,4-dichlorophenylmagnesium bromide (II) in the presence of [1,2-bis(diphenylphosphino)ethane]nickel(II) chloride produced the 2-arylpyrazine (III), which was reduced to the corresponding piperazine (IV) by means of DIBAL in THF. In a different procedure, bromination of methyl 3,4-dichlorophenylacetate (V) using N-bromosuccinimide, followed by reaction of the resulting bromo ester (VI) with ethylenediamine (VII) afforded the piperazinone (VIII), which was further reduced to (IV) by using LiAlH4 in Et2O.

合成路线图解说明:

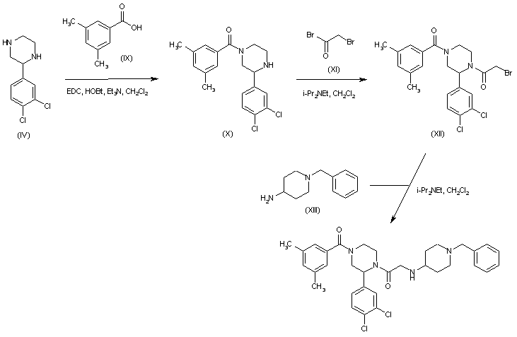
Regioselective coupling of the 2-arylpiperazine (IV) with 3,5-dimethylbenzoic acid (IX) at the less hindered N atom by means of EDC and HOBt afforded the 4-benzoyl piperazine (X). This was subsequently acylated with bromoacetyl bromide (XI) to yield the bromo amide (XII). Bromide displacement in (XII) with 4-amino-1-benzylpiperidine (XIII) then gave the title compound.

参考文献No.48394
标题:Piperazino derivs. as neurokinin antagonists
作者:Piwinski, J.J.; McCormick, K.D.; Shue, H.-J.; Chen, X.; Shih, N.-Y.; Blythin, D.J. (Schering Corp.)
来源:EP 0850236; JP 2000344766; US 5795894; US 5892039; WO 9708166
合成路线图解说明:

Reaction of 2-chloropyrazine (I) with 3,4-dichlorophenylmagnesium bromide (II) in the presence of [1,2-bis(diphenylphosphino)ethane]nickel(II) chloride produced the 2-arylpyrazine (III), which was reduced to the corresponding piperazine (IV) by means of DIBAL in THF. In a different procedure, bromination of methyl 3,4-dichlorophenylacetate (V) using N-bromosuccinimide, followed by reaction of the resulting bromo ester (VI) with ethylenediamine (VII) afforded the piperazinone (VIII), which was further reduced to (IV) by using LiAlH4 in Et2O.

合成路线图解说明:

Regioselective coupling of the 2-arylpiperazine (IV) with 3,5-dimethylbenzoic acid (IX) at the less hindered N atom by means of EDC and HOBt afforded the 4-benzoyl piperazine (X). This was subsequently acylated with bromoacetyl bromide (XI) to yield the bromo amide (XII). Bromide displacement in (XII) with 4-amino-1-benzylpiperidine (XIII) then gave the title compound.

参考文献No.613029
标题:Discovery of Sch 62373 and analogs, of novel series of 2-phenylpiperazines exhibiting potent dual NK1/NK2 antagonist activity
作者:Anthes, J.C.; McPhail, A.T.; Blythin, D.J.; Shue, H.-J.; Chen, X.; Piwinski, J.J.; shih, N.-Y.
来源:221st ACS Natl Meet (April 1 2001, San Diego) 2001,Abst MEDI 244
合成路线图解说明:

Reaction of 2-chloropyrazine (I) with 3,4-dichlorophenylmagnesium bromide (II) in the presence of [1,2-bis(diphenylphosphino)ethane]nickel(II) chloride produced the 2-arylpyrazine (III), which was reduced to the corresponding piperazine (IV) by means of DIBAL in THF. In a different procedure, bromination of methyl 3,4-dichlorophenylacetate (V) using N-bromosuccinimide, followed by reaction of the resulting bromo ester (VI) with ethylenediamine (VII) afforded the piperazinone (VIII), which was further reduced to (IV) by using LiAlH4 in Et2O.

合成路线图解说明:

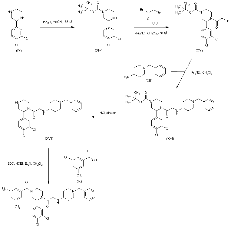
In a related method, the 2-arylpiperazine (IV) was first protected as the 4-tert-butyl carbamate (XIV) upon treatment with di-tert-butyl dicarbonate in MeOH at -78 C. Subsequent acylation of (XIV) with bromoacetyl bromide (XI) produced the bromo amide (XV), which was then condensed with the aminopiperidine (XIII), yielding the glycinamide derivative (XVI). Acidic cleavage of the Boc group of (XVI) afforded the 1-acyl piperazine (XVII). This was finally coupled with 3,5-dimethylbenzoic acid using EDC and HOBt.

Drug Information Express,Drug R&D,Chemical Database,Patent Search.
Copyright © 2006-2026 Drug Future. All rights reserved.Contact Us