【药物名称】QC-12
化学结构式(Chemical Structure):
参考文献No.35375
标题:Analogues or derivs. of quercetin (prodrugs)
作者:Golding, B.T.; Griffin, R.J.; Quarterman, C.P.; Slack, J.A.; Williams, J.G. (University of Birmingham)
来源:EP 0912541; JP 2000512988; WO 9749693
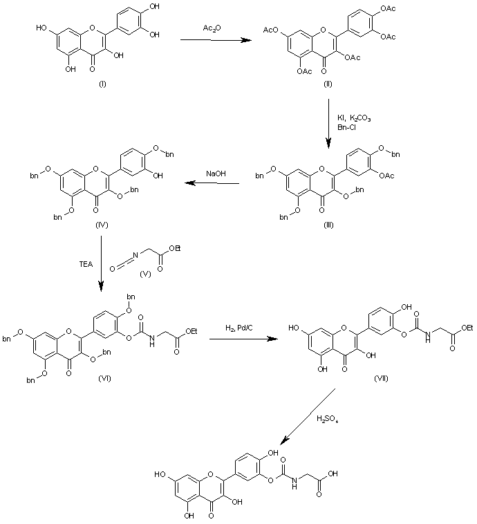
合成路线图解说明:

The acylation of quercetin (I) with acetic anhydride in sulfuric acid gives the pentaacetate (II), which by reaction with KI, K2CO3 and benzyl chloride in refluxing butanone yields the 3'-acetoxy tetrabenzyloxy compound (III). The hydrolysis of the acetate group of (III) with NaOH in refluxing methanol/acetone/water affords the 3'-hydroxy compound (IV), which is condensed with ethyl 2-(isocyanato)acetate (V) and TEA in hot THF to provide the carbamate (VI). Cleavage of the benzyloxy groups of (VI) with H2 over Pd/C in THF gives the tetrahydroxy compound (VII), which is finally hydrolyzed with sulfuric acid in refluxing THF to yield the target prodrug.

Drug Information Express,Drug R&D,Chemical Database,Patent Search.
Copyright © 2006-2026 Drug Future. All rights reserved.Contact Us