【药物名称】S-247
化学结构式(Chemical Structure):
参考文献No.40907
标题:Heterocyclic glycyl beta-alanine derivs. as vitronectin antagonists
作者:Miyashiro, J.M.; Gasiecki, A.F.; Khanna, I.K.; Chandrakumar, N.S.; Desai, B.N.; Russell, M.A.; Devadas, B.; Rico, J.G.; Rogers, T.E.; Rao, S.N.; Malecha, J.W.; Ruminski, P.G.; Yu, Y.; Huff, R. (Pfizer Inc.)
来源:EP 1070060; JP 2002511462; WO 9952896
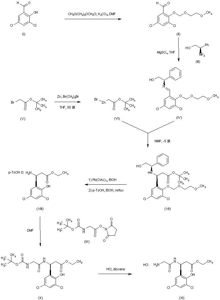
合成路线图解说明:

The hydroxyl group of 3,5-dichlorosalicylaldehyde (I) is protected as the methoxyethoxymethyl (MEM) ether (II) with MEM chloride in DMF. Condensation of the protected salicylaldehyde (II) with (S)-phenylglycinol (III) yields the chiral aldimine (IV). This is then reacted with the Reformatski reagent (VI), prepared from t-butyl bromoacetate (V), to provide adduct (VII). Oxidative removal of the chiral auxiliary group of (VII) with lead tetraacetate, followed by acidic cleavage of the t-butyl and MEM groups, leads to amino ester (VIII). Coupling of (VIII) with the succinimidyl ester of N-Boc-glycine (IX) furnishes amide (X). The N-Boc protecting group of (X) is then removed under acidic conditions to yield amine (XI) (1).

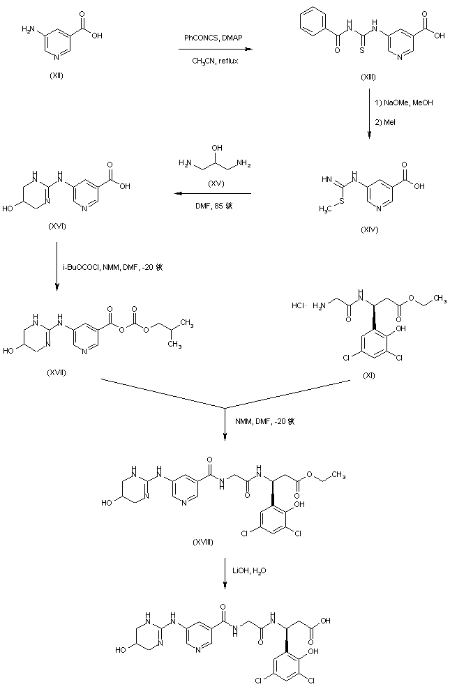
合成路线图解说明:

5-Aminonicotinic acid (XII) is condensed with benzoyl isothiocyanate to form the benzoyl thiourea (XIII). Removal of the benzoyl group of (XIII) with NaOMe in MeOH, followed by alkylation with iodomethane, furnishes the S-methyl isothiourea (XIV). This is then condensed with 1,3-diamino-2-propanol (XV) in hot DMF, producing the tetrahydropyrimidine derivative (XVI). The carboxyl group of (XVI) is then activated as the mixed anhydride (XVII) employing isobutyl chloroformate and NMM. Coupling between anhydride (XVII) and amine (XI) in the presence of NMM leads to the diamide (XVIII). The ethyl ester group of (XVIII) is finally hydrolyzed by means of LiOH to the corresponding carboxylic acid.

Drug Information Express,Drug R&D,Chemical Database,Patent Search.
Copyright © 2006-2026 Drug Future. All rights reserved.Contact Us