【药物名称】BMS-250749
化学结构式(Chemical Structure):
参考文献No.35951
标题:Cytotoxic amino sugar and related sugar derivs. of indolopyrrolocarbazoles
作者:Saulnier, M.G.; Balasubramanian, N.; Frennesson, D.B.; St. Laurent, D.R.; Langley, D.R. (Bristol-Myers Squibb Co.)
来源:EP 0971717; JP 2000516250; WO 9807433
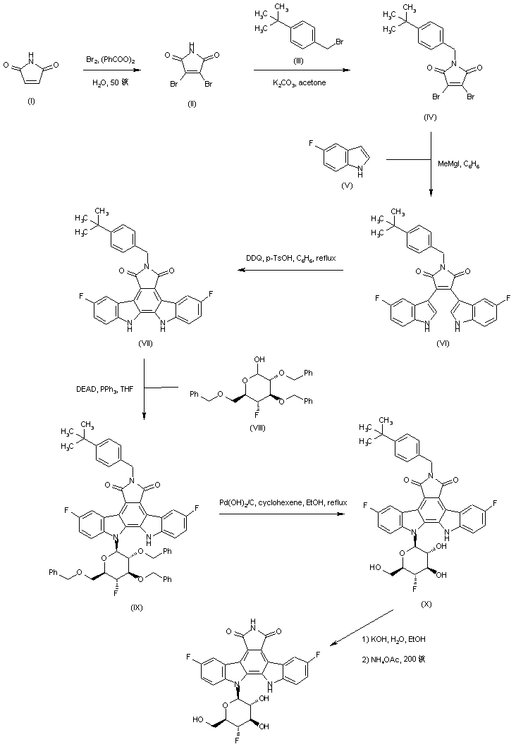
合成路线图解说明:

Maleimide (I) was brominated in the presence of benzoyl peroxide to give 3,4-dibromomaleimide (II). Alkylation of (II) with 4-(tert-butyl)benzyl bromide (III) in the presence of potassium carbonate afforded the N-(tert-butylbenzyl) derivative (IV). Coupling of the dibromomaleimide (IV) with the indolylmagnesium iodide resulting from 5-fluoroindole (V) and MeMgI furnished the bis-indolyl maleimide (VI). Oxidative cyclization of (VI) using dicyanodichlorobenzoquinone yielded the target indolopyrrolocarbazole system (VIII). Glycosylation of (VIII) with the protected fluoro glucose derivative (VIII) under Mitsunobu conditions afforded adduct (IX). The O-benzyl protecting groups were then removed by transfer hydrogenation with cyclohexene and Pd(OH)2 to give (X). The tert-butylbenzyl group was finally removed by basic hydrolysis followed by recyclization with fused ammonium acetate.

Drug Information Express,Drug R&D,Chemical Database,Patent Search.
Copyright © 2006-2026 Drug Future. All rights reserved.Contact Us