【药物名称】SCH-211803
化学结构式(Chemical Structure):
参考文献No.48362
标题:Muscarinic antagonists
作者:Miller, M.W.; Clader, J.W.; McCombie, S.W.; Vice, S.F.; Kozlowski, J.A. (Schering Corp.)
来源:WO 0121590
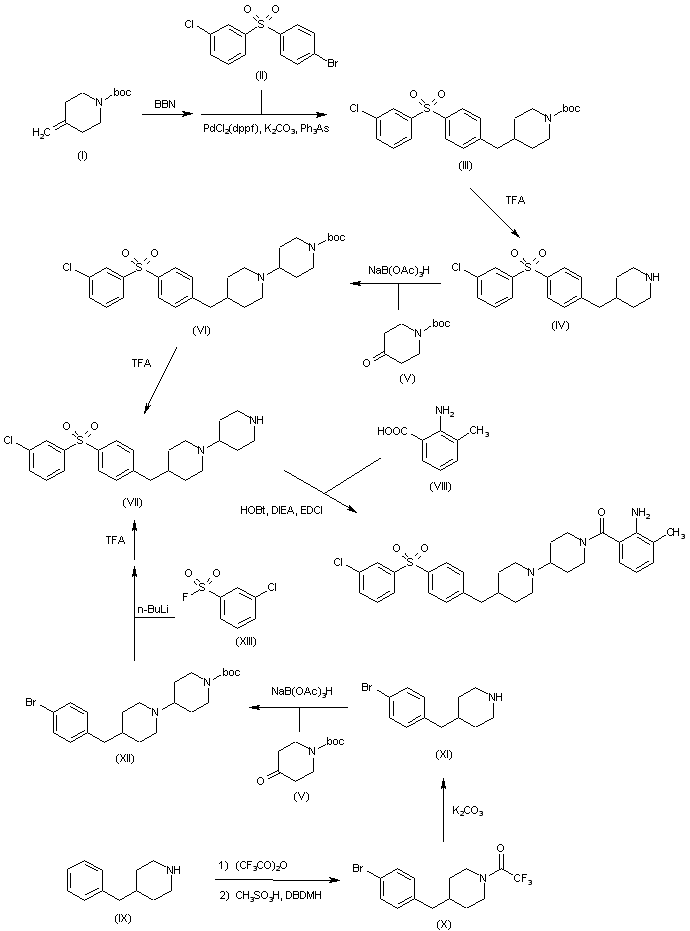
合成路线图解说明:

Treatment of piperidine (I) with 9-BBN in refluxing THF followed by reaction with bromo derivative (II) by means of K2CO3, PdCl2(dppf) and Ph3As in DMF/H2O provides chlorophenylsulfonyl derivative (III), whose Boc group is removed by means of TFA in CH2Cl2/H2O to afford secondary amine (IV). Reductive amination between amine (IV) and piperidone (V) by means of NaB(OAc)3H in CH2Cl2 in the presence of HOAc furnishes compound (VI), which is then deprotected by means of TFA in CH2Cl2/H2O to yield bipiperidinyl derivative (VII). Finally, coupling of (VII) with 2-amino-3-methyl benzoic acid (VIII) by means of HOBt, DIEA and EDCI in DMF provides the target product. Alternatively, the synthesis of intermediate (VII) can be performed as follows: Protection of the piperidine moiety of (IX) by means of trifluoroacetic anhydride in CH2Cl2 followed by treatment with methanesulfonic acid and dibromodimethylhydantoin (DBDMH) affords bromo derivative (X), whose trifluoroacetate moiety is then removed by reaction with K2CO3 in MeOH/H2O to give piperidine derivative (XI). Reductive amination between (XI) and piperidone (V) by means of NaB(OAc)3H in CH2Cl2 in the presence of HOAc furnishes compound (XII), which is condensed with 3-chlorbenzenesulfonyl fluoride (XIII) by means of BuLi in THF and finally treated with TFA in CH2Cl2/H2O for Boc removal to provide the intermediate chlorophenylsulfonyl derivative (VII). (1,2)

参考文献No.783971
标题:Muscarinic M2 antagonists: Anthranilamide derivatives with exceptional selectivity and in vivo activity
作者:Clader, J.W.; Billard, W.; Binch, H. III.; Chen, L.-Y.; Crosby, G. Jr.; Duffy, R.A.; Ford, J.; Kozlowski, J.A.; Lachowicz, J.E.; Li, S.; Liu, C.; McCombie, S.W.; Vice, S.; Zhou, G.; Greenlee, W.J.
来源:Bioorg Med Chem 2004,12(2),319
合成路线图解说明:

Treatment of piperidine (I) with 9-BBN in refluxing THF followed by reaction with bromo derivative (II) by means of K2CO3, PdCl2(dppf) and Ph3As in DMF/H2O provides chlorophenylsulfonyl derivative (III), whose Boc group is removed by means of TFA in CH2Cl2/H2O to afford secondary amine (IV). Reductive amination between amine (IV) and piperidone (V) by means of NaB(OAc)3H in CH2Cl2 in the presence of HOAc furnishes compound (VI), which is then deprotected by means of TFA in CH2Cl2/H2O to yield bipiperidinyl derivative (VII). Finally, coupling of (VII) with 2-amino-3-methyl benzoic acid (VIII) by means of HOBt, DIEA and EDCI in DMF provides the target product. Alternatively, the synthesis of intermediate (VII) can be performed as follows: Protection of the piperidine moiety of (IX) by means of trifluoroacetic anhydride in CH2Cl2 followed by treatment with methanesulfonic acid and dibromodimethylhydantoin (DBDMH) affords bromo derivative (X), whose trifluoroacetate moiety is then removed by reaction with K2CO3 in MeOH/H2O to give piperidine derivative (XI). Reductive amination between (XI) and piperidone (V) by means of NaB(OAc)3H in CH2Cl2 in the presence of HOAc furnishes compound (XII), which is condensed with 3-chlorbenzenesulfonyl fluoride (XIII) by means of BuLi in THF and finally treated with TFA in CH2Cl2/H2O for Boc removal to provide the intermediate chlorophenylsulfonyl derivative (VII). (1,2)

Drug Information Express,Drug R&D,Chemical Database,Patent Search.
Copyright © 2006-2026 Drug Future. All rights reserved.Contact Us