【药物名称】RHPS04, NSC-714187, RHPS4
化学结构式(Chemical Structure):
参考文献No.650865
标题:Antitumor polycyclic acridines. 8. Synthesis and telomerase-inhibitory activity of methylated pentacyclic acridinium salts
作者:Heald, R.A.; Modi, C.; Cookson, J.C.; Hutchinson, I.; Laughton, C.A.; Gowan, S.M.; Kelland, L.R.; Stevens, M.F.G.
来源:J Med Chem 2002,45(3),590
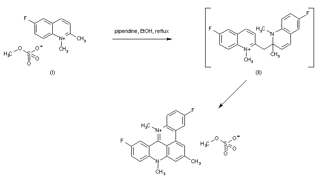
合成路线图解说明:

The title compound was obtained in a one-pot procedure by dimerization of 1,2-dimethyl-6-fluoroquinolinium methosulfate (I) in ethanolic piperidine, giving intermediate (II), which spontaneously rearranged to the title quinoacridinium salt.

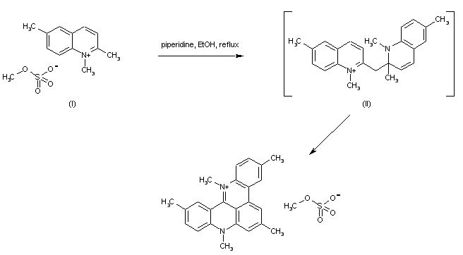
合成路线图解说明:

The title compound was obtained in a one-pot procedure by dimerization of 1,2,6-trimethylquinolinium methosulfate (I) in ethanolic piperidine, giving intermediate (II), which spontaneously rearranged to the title quinoacridinium salt.

Drug Information Express,Drug R&D,Chemical Database,Patent Search.
Copyright © 2006-2026 Drug Future. All rights reserved.Contact Us