【药物名称】BRACO-19
化学结构式(Chemical Structure):
参考文献No.53672
标题:Therapeutic acridone and acridine cpds.
作者:Neidle, S.; Harrison, R.J.; Kelland, L.R.; Gowan, S.M.; Read, M.; Reszka, T. (Cancer Research Technology Ltd.)
来源:WO 0208193
合成路线图解说明:

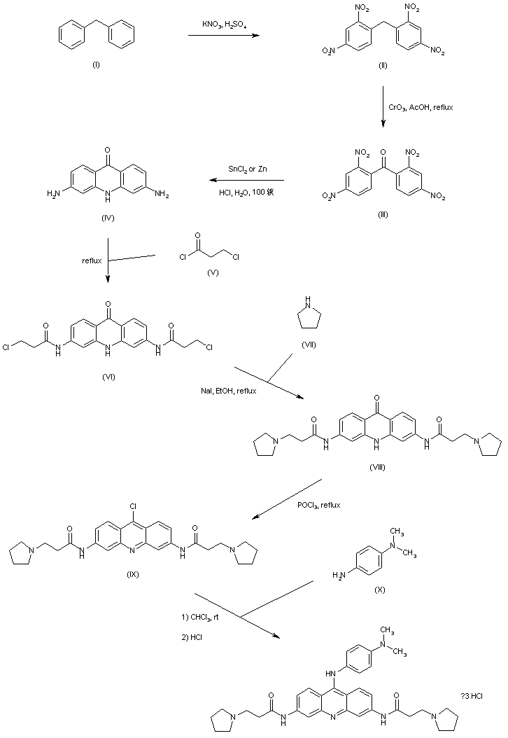
Diphenylmethane (I) is nitrated to the tetranitro derivative (II) employing KNO3 in concentrated H2SO4. Oxidation of the diarylmethane (II) with CrO3 in boiling HOAc provides benzophenone (III). Cyclization of (III) under reductive conditions gives rise to the diamino acridone (IV), which is further acylated by 3-chloropropionyl chloride (V) to the bis-chloropropionamide (VI). Nucleophilic substitution of the chloride groups of (VI) with pyrrolidine (VII) furnishes the bis-pyrrolidino derivative (VIII). Chlorination of acridone (VIII) with POCl3 yields the chloroacridine (IX). This is finally condensed with 4-(dimethylamino)aniline (X) to produce the title compound.

参考文献No.667700
标题:Structure-based design of selective and potent G quadruplex-mediated telomerase inhibitors
作者:Read, M.; Harrison, R.J.; Romagnoli, B.; Tanious, F.A.; Gowan, S.H.; Reszka, A.P.; Wilson, W.D.; Kelland, L.R.; Neidle, S.
来源:Proc Natl Acad Sci USA 2001,98(9),4844
合成路线图解说明:

Diphenylmethane (I) is nitrated to the tetranitro derivative (II) employing KNO3 in concentrated H2SO4. Oxidation of the diarylmethane (II) with CrO3 in boiling HOAc provides benzophenone (III). Cyclization of (III) under reductive conditions gives rise to the diamino acridone (IV), which is further acylated by 3-chloropropionyl chloride (V) to the bis-chloropropionamide (VI). Nucleophilic substitution of the chloride groups of (VI) with pyrrolidine (VII) furnishes the bis-pyrrolidino derivative (VIII). Chlorination of acridone (VIII) with POCl3 yields the chloroacridine (IX). This is finally condensed with 4-(dimethylamino)aniline (X) to produce the title compound.

Drug Information Express,Drug R&D,Chemical Database,Patent Search.
Copyright © 2006-2026 Drug Future. All rights reserved.Contact Us