【药物名称】Sorafenib, BAY-43-9006
化学结构式(Chemical Structure):
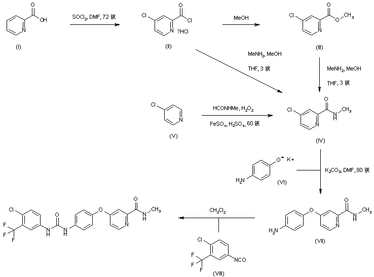
参考文献No.44303
标题:omega-Carboxyaryl substd. diphenyl ureas as raf kinase inhibitors
作者:Lowinger, T.B.; Monahan, M.-K.; Dumas, J.; Scott, W.J.; Khire, U.; Wood, J.E.; Renick, J.; Riedl, B.; Smith, R.A.; Natero, R.; Sibley, R.N. (Bayer Corp.)
来源:EP 1140840; WO 0042012
合成路线图解说明:

Reaction of picolinic acid (I) with hot thionyl chloride in DMF gives 4-chloropyridine-2-carbonyl chloride (II), which is treated with methanol to give ester (III). Subsequent displacement of the methyl ester function with methylamine provides amide (IV). Alternatively, acid chloride (II) is directly converted into amide (IV) by reaction with a cold solution of methylamine. In a different synthetic procedure, amide (IV) can be obtained from 4-chloropyridine (V) via the Menisci reaction using N-methylformamide and hydrogen peroxide in the presence of FeSO4 and H2SO4. Coupling of the amide (IV) with potassium 4-aminophenolate (VI) -obtained by treatment of 4-aminophenol (VII) with potassium tert-butoxide- in hot DMF yields the pyridyloxyaniline (VIII). Aniline (VIII) is finally condensed with either 4-chloro-3-(trifluoromethyl)phenyl isocyanate (IX) in CH2Cl2 or 4-chloro-3-(trifluoromethyl)aniline (X) by means of CDI in CH2Cl2.

参考文献No.44352
标题:omega-Carboxy aryl substd. diphenyl ureas as p38 kinase inhibitors
作者:Smith, R.A.; Monahan, M.-K.; Riedl, B.; Scott, W.J.; Khire, U.; Lowinger, T.B.; Natero, R.; Sibley, R.N.; Wood, J.E.; Renick, J.; Dumas, J. (Bayer Corp.)
来源:WO 0041698
合成路线图解说明:

Reaction of picolinic acid (I) with hot thionyl chloride in DMF gives 4-chloropyridine-2-carbonyl chloride (II), which is treated with methanol to give ester (III). Subsequent displacement of the methyl ester function with methylamine provides amide (IV). Alternatively, acid chloride (II) is directly converted into amide (IV) by reaction with a cold solution of methylamine. In a different synthetic procedure, amide (IV) can be obtained from 4-chloropyridine (V) via the Menisci reaction using N-methylformamide and hydrogen peroxide in the presence of FeSO4 and H2SO4. Coupling of the amide (IV) with potassium 4-aminophenolate (VI) -obtained by treatment of 4-aminophenol (VII) with potassium tert-butoxide- in hot DMF yields the pyridyloxyaniline (VIII). Aniline (VIII) is finally condensed with either 4-chloro-3-(trifluoromethyl)phenyl isocyanate (IX) in CH2Cl2 or 4-chloro-3-(trifluoromethyl)aniline (X) by means of CDI in CH2Cl2.

参考文献No.706824
标题:A scaleable synthesis of BAY 43-9006: A potent Raf kinase inhibitor for the treatment of cancer
作者:Monahan, M.-K.; Sibley, R.; Natero, R.; Dumas, J.; Bankston, D.; Riedl, B.
来源:Org Process Res Dev 2002,6(6),777
合成路线图解说明:

Reaction of picolinic acid (I) with hot thionyl chloride in DMF gives 4-chloropyridine-2-carbonyl chloride (II), which is treated with methanol to give ester (III). Subsequent displacement of the methyl ester function with methylamine provides amide (IV). Alternatively, acid chloride (II) is directly converted into amide (IV) by reaction with a cold solution of methylamine. In a different synthetic procedure, amide (IV) can be obtained from 4-chloropyridine (V) via the Menisci reaction using N-methylformamide and hydrogen peroxide in the presence of FeSO4 and H2SO4. Coupling of the amide (IV) with potassium 4-aminophenolate (VI) -obtained by treatment of 4-aminophenol (VII) with potassium tert-butoxide- in hot DMF yields the pyridyloxyaniline (VIII). Aniline (VIII) is finally condensed with either 4-chloro-3-(trifluoromethyl)phenyl isocyanate (IX) in CH2Cl2 or 4-chloro-3-(trifluoromethyl)aniline (X) by means of CDI in CH2Cl2.

参考文献No.712566
标题:BAY-43-9006
作者:Sorbera, L.A.; Casta馿r, J.; Bozzo, J.; Leeson, P.A.
来源:Drugs Fut 2002,27(12),1141
合成路线图解说明:

Reaction of picolinic acid (I) with hot thionyl chloride in DMF gives 4-chloropyridine-2-carbonyl chloride (II), which is treated with methanol to give ester (III). Subsequent displacement of the methyl ester function with methylamine provides amide (IV). Alternatively, acid chloride (II) is directly converted into amide (IV) by reaction with a cold solution of methylamine. In a different synthetic procedure, amide (IV) can be obtained from 4-chloropyridine (V) via the Menisci reaction using N-methylformamide and hydrogen peroxide in the presence of FeSO4 and H2SO4. Coupling of the amide (IV) with potassium 4-aminophenolate (VI) -obtained by treatment of 4-aminophenol (VII) with potassium tert-butoxide- in hot DMF yields the pyridyloxyaniline (VIII). Aniline (VIII) is finally condensed with either 4-chloro-3-(trifluoromethyl)phenyl isocyanate (IX) in CH2Cl2 or 4-chloro-3-(trifluoromethyl)aniline (X) by means of CDI in CH2Cl2.

Drug Information Express,Drug R&D,Chemical Database,Patent Search.
Copyright © 2006-2026 Drug Future. All rights reserved.Contact Us