【药物名称】DPC-602
化学结构式(Chemical Structure):
参考文献No.39799
标题:Nitrogen containing heteroaromatics with ortho-substd. P1's as factor Xa inhibitors
作者:Bostrom, L.L.; Pinto, D.J.P.; Galemmo, R.A. Jr.; Rossi, K.A. (DuPont Pharmaceuticals Co.)
来源:EP 1042299; WO 9932454
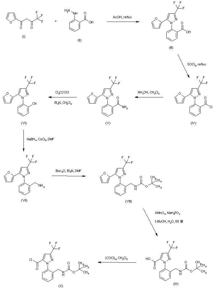
合成路线图解说明:

The condensation between 4,4,4-trifluoro-1-(2-furyl)-1,3-butanedione (I) and 2-hydrazinobenzoic acid (II) in refluxing HOAc afforded the pyrazole derivative (III). After conversion of (III) into the corresponding acid chloride (IV) by using SOCl2, treatment with ammonium hydroxide provided amide (V). Dehydration of amide (V) employing trichloroacetyl chloride and Et3N yielded nitrile (VI), which was reduced to the primary amine (VII) with NaBH4 and CoCl2. After protection of the amino group of (VII) as the N-Boc derivative (VIII), oxidative cleavage of the furan ring with KMnO4 produced the carboxylic acid (IX), which was further activated as the acid chloride (X) upon treatment with oxalyl chloride.

合成路线图解说明:

Coupling of acid chloride (X) with the biphenyl amine (XI) gave the corresponding amide (XII). The tert-butyl and Boc protecting groups of (XII) were finally cleaved by treatment with trifluoroacetic acid.

Drug Information Express,Drug R&D,Chemical Database,Patent Search.
Copyright © 2006-2026 Drug Future. All rights reserved.Contact Us