【药物名称】2'-Palmitoylpaclitaxel, C16HTD
化学结构式(Chemical Structure):
参考文献No.625471
标题:Hydrolyzable hydrophobic taxanes: Synthesis and anti-cancer activities
作者:Ali, S.; Ahmad, I.; Peters, A.; Masters, G.; Minchey, S.; Janoff, A.; Mayhew, E.
来源:Anti-Cancer Drugs 2001,12(2),117
合成路线图解说明:

The target compound is obtained by esterification of Taxol (paclitaxel) (I) with hexadecanoic anhydride (II) by means of DCC in dichloromethane.

合成路线图解说明:

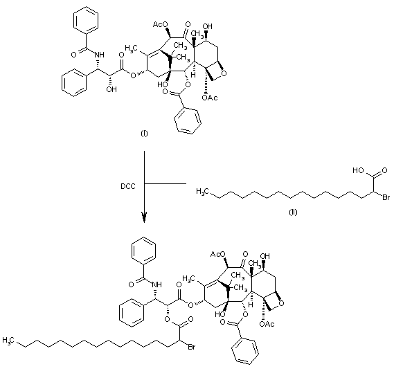
Esterification of Taxol (paclitaxel) (I) with 2-bromohexadecanoic acid (II) by means of DCC in dichloromethane yields the target 2'-(2-bromohexadecanoyl)paclitaxel.

Drug Information Express,Drug R&D,Chemical Database,Patent Search.
Copyright © 2006-2026 Drug Future. All rights reserved.Contact Us